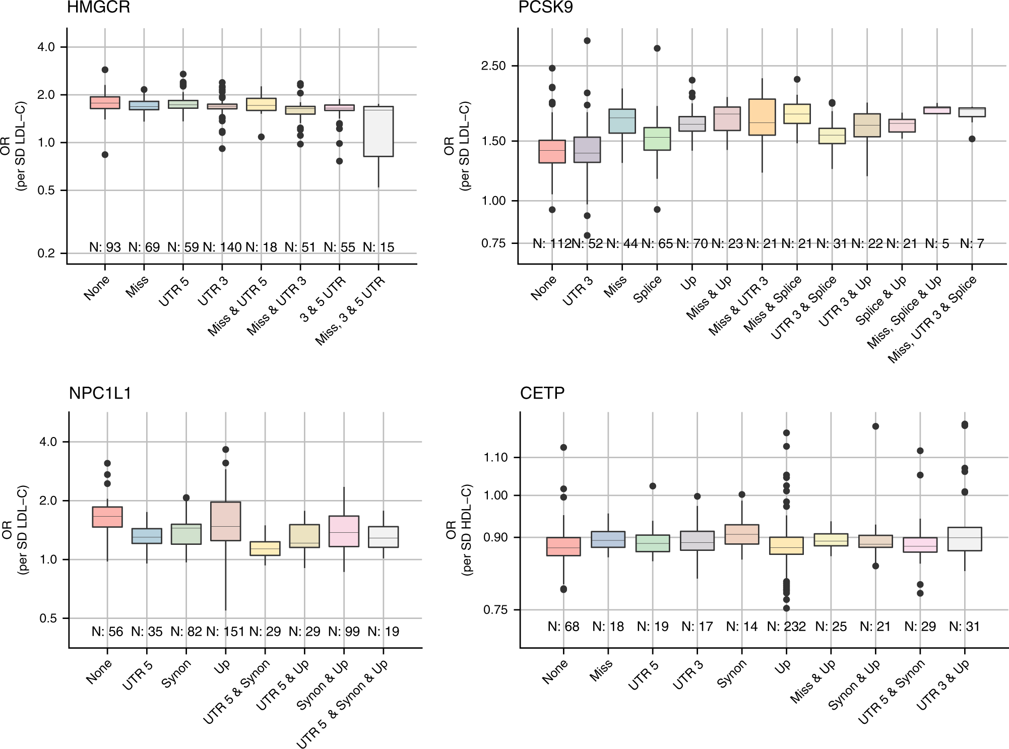
Fig. 2: Instrument selection related variation in the point estimates of drug target Mendelian randomisation studies on the lipid’s association with CHD.
From: Genetic drug target validation using Mendelian randomisation

Each estimate is based on randomly (500 iterations) selecting 4 SNPs out of 17 HMGCR, 30 PCSK9, 21 NPC1L1, 36 CETP candidate variants. Lipids data were used from the GLGC and linked to coronary heart disease data from CardiogramPlusC4D. estimates were grouped by the inclusion of instruments with worsted predicted functional or regulatory consequence; categories occurring less than five times were removed. Any pairwise LD was accounted for using the 1000 genomes ‘EUR’ reference panel and a generalised least squares method17. The boxplots depict quartiles 1, 2 (median), and 3 as a box, with the whiskers presented as vertical bars and values ±1.5 times the interquartile range as dots.