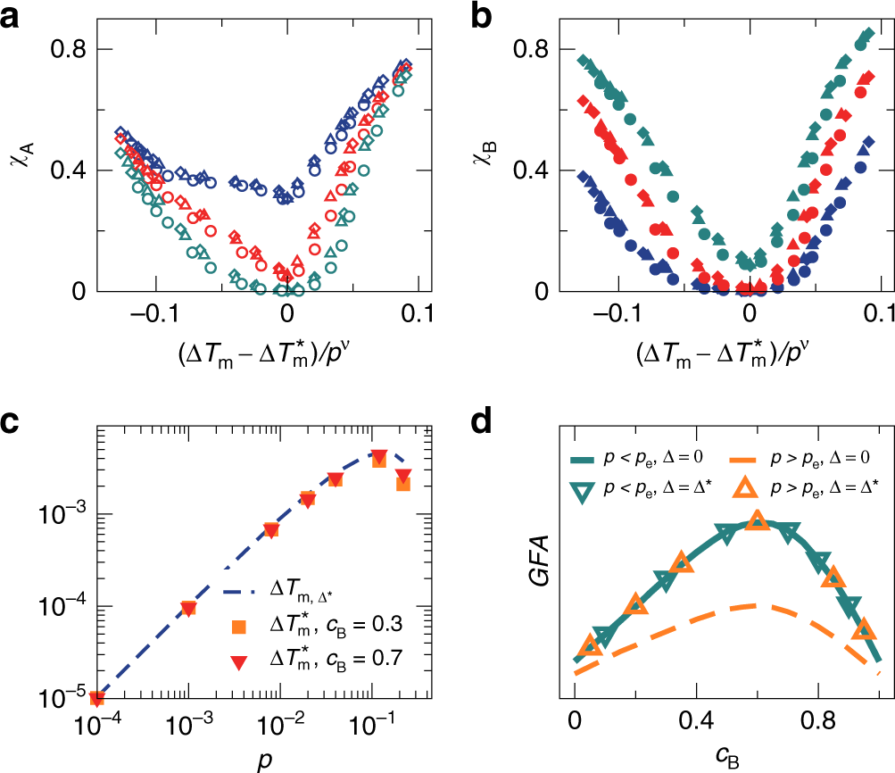
Fig. 5: Particle composition dependence. Here we show results of harmonic systems with γ = 1.4.

a, b Scaling collapse of χA(ΔTm) and χB(ΔTm) of solid-like states at p = 10−5 (diamonds), 10−4 (triangles), and 10−3 (circles) quenched via the rate \(\tilde{\kappa }=1.22\times 1{0}^{-6}\). \(\Delta {T}_{{\rm{m}}}^{* }\) is the value of ΔTm at which χA and χB reach the minimum, and ν ≈ 1.02. Three values of cB are presented: 0.3 (blue), 0.5 (red), and 0.7 (green). c Comparison of melting temperature gaps \(\Delta {T}_{{\rm{m}}}^{* }(p)\) for cB = 0.3 and 0.7 and \(\Delta {T}_{{\rm{m}},{\Delta }^{* }}(p)\) with Δ = Δ* defined in Eq. (14). They agree well, as shown in Fig. 4e for cB = 0.5. d Schematic plot of the GFA against cB on both sides of pe defined in Eq. (13) and at Δ = 0 and Δ*.