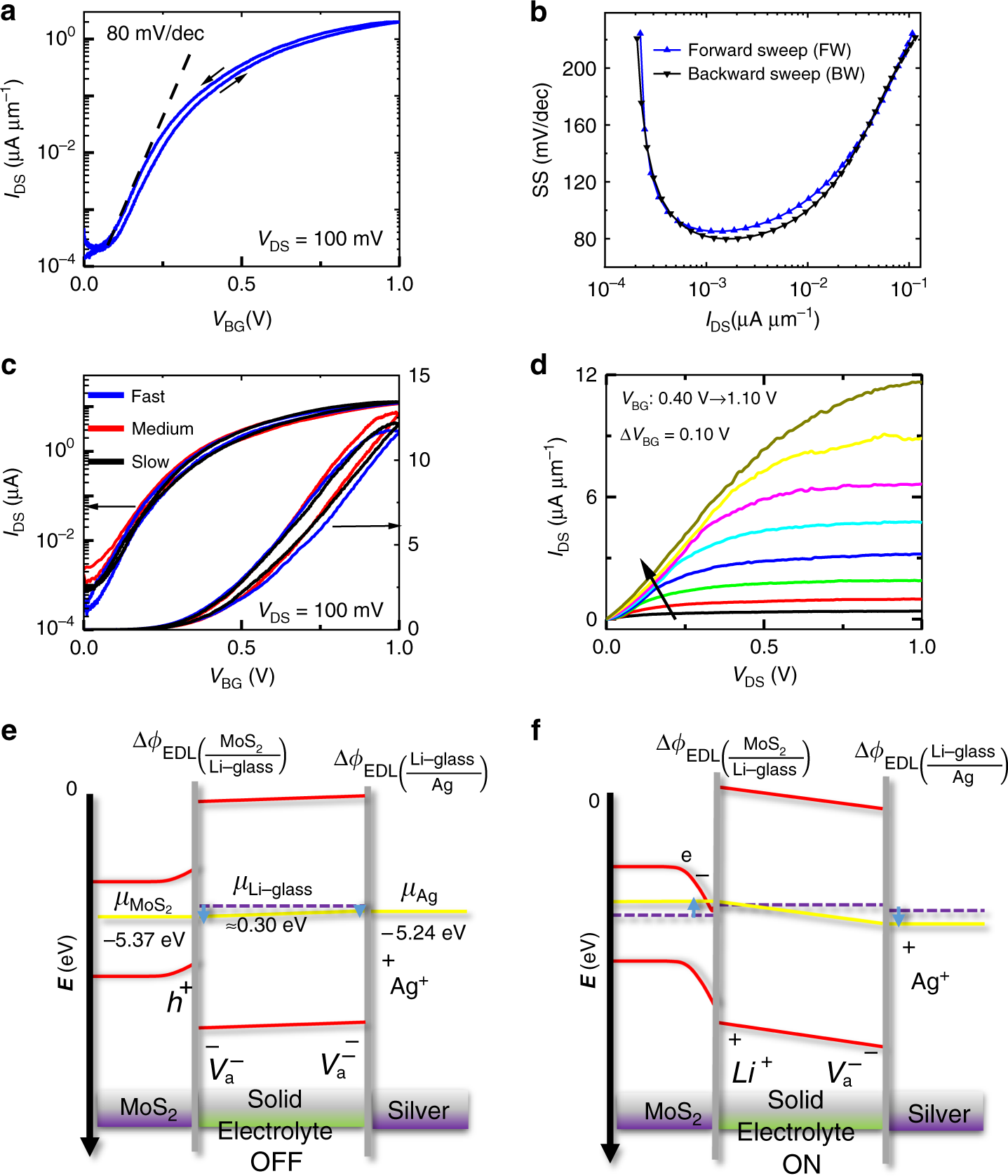
Fig. 2: Electrical transport characteristics of monolayer CVD MoS2 transferred onto Li-ion glass.

a Transfer characteristics of a back-gated CVD MoS2 FET (L = 1 µm, W = 5 µm). VTH is ~0.4 V. b SS vs. IDS for the same FET. SS calculated at points in the sub-threshold region of a. SSmin for forward and backward sweeps are ~85 mV/dec and 80 mV/dec, respectively. c Transfer characteristics at different gate sweeping speeds. Sweeping rates for fast, medium, and slow sweeps are 44 mV s−1, 9 mV s−1, and 1 mV s−1, respectively. d Output characteristics of the FET at various back-gate voltages. e, f Schematics illustrating the band diagram for ON/OFF states of MoS2 FET. Purple dashed and yellow solid lines represent the initial and final states of the chemical potentials, respectively (see Supplementary Fig. 16 for further details).