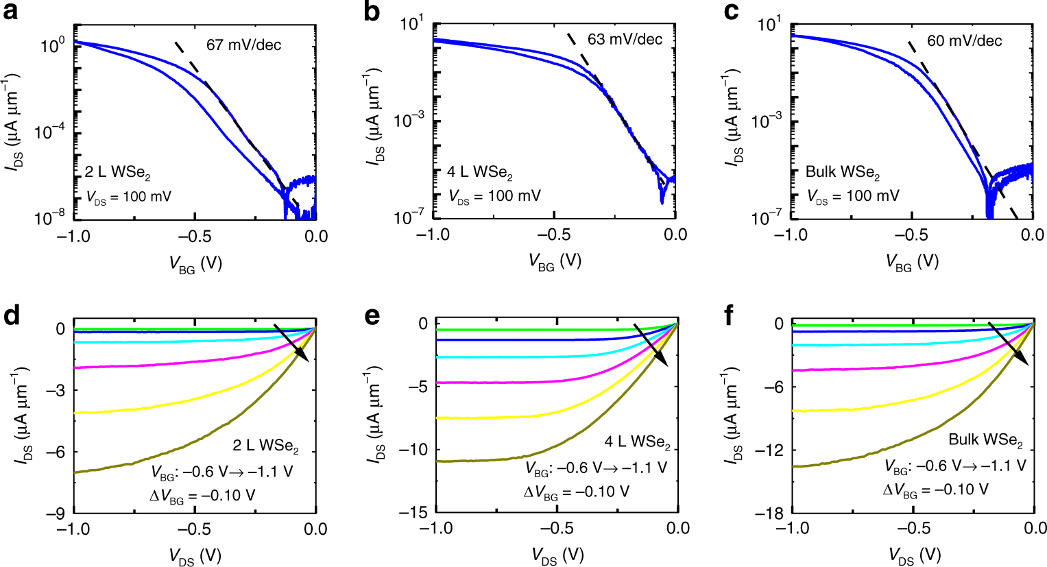
Fig. 3: Electrical transport characteristics of exfoliated WSe2 on Li-ion glass.

Transfer characteristics of a 2 L, b 4 L, and c bulk (~ 14 nm thick) WSe2 FETs all featuring ION/IOFF ~ 107 and hysteresis voltage < 120 mV. |VTH | is ~0.6 V, 0.34 V, and 0.5 V for 2 L, 4 L, and bulk, respectively. Output characteristics of d 2 L, e 4 L, and f bulk WSe2 FET. For small drain bias, a linear ID-VD is observed indicating Ohmic-like contact. For higher drain bias, current saturation is observed.