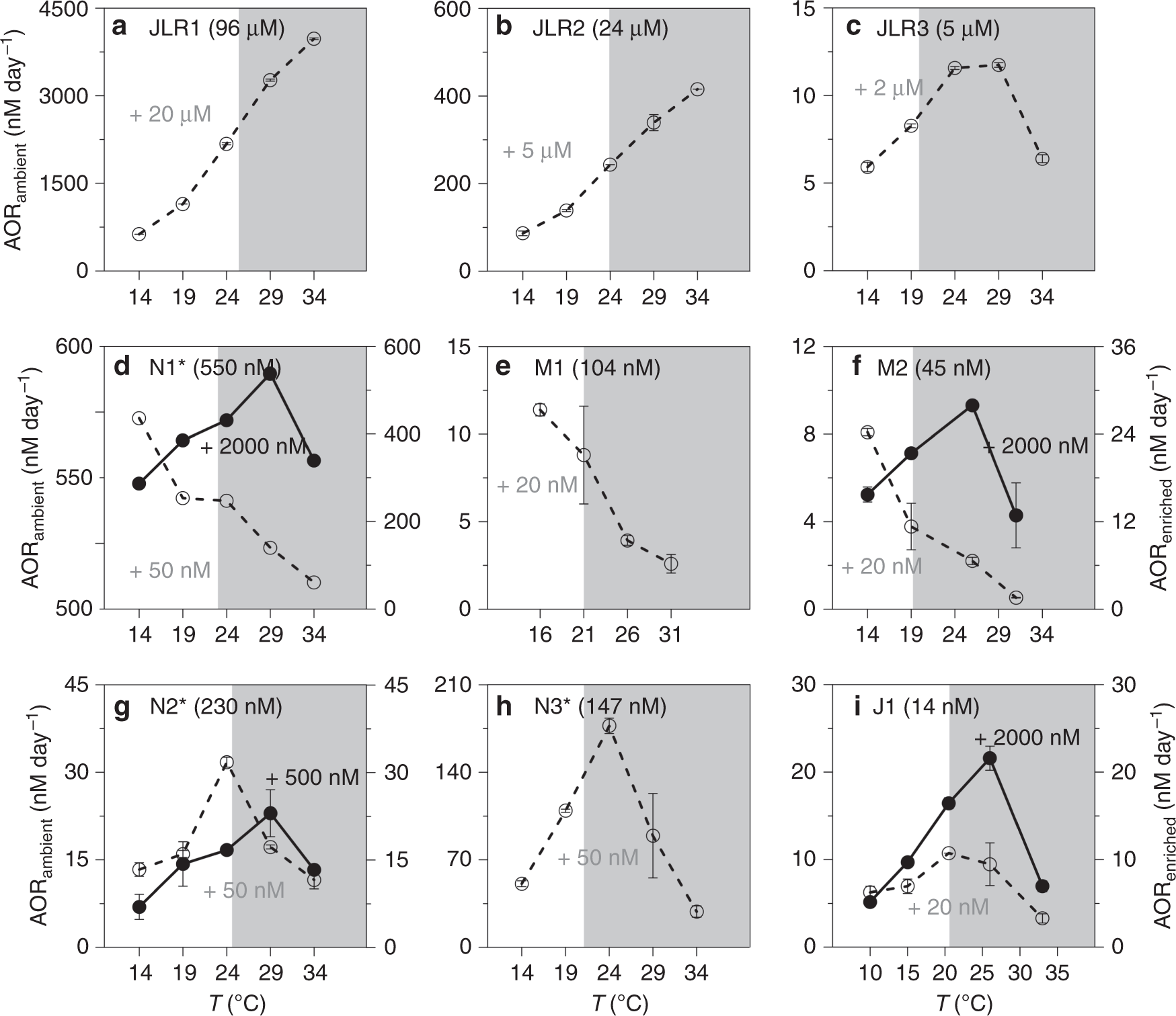
Fig. 1: Thermal responses of ammonia oxidation rates.

In situ substrate concentrations are given in parentheses. Ammonia oxidation rates near the ambient substrate level (AORambient) are shown as open circles with dashed lines and at the enriched substrate level (AORenriched) as solid circles with solid lines. The tracer concentrations of 15NH4+ added for the ambient and enriched incubations are shown in gray and black numbers, respectively. Gray area denotes temperatures higher than the in situ temperature. The station IDs with asterisk (*) refer to the stations at which the ammonium concentrations were measured in the shore-based laboratory several days after collection. The rate data are mean values, instead of standard deviation the given bars indicate the variation range of two independent experiments, except N1 station (n = 1).