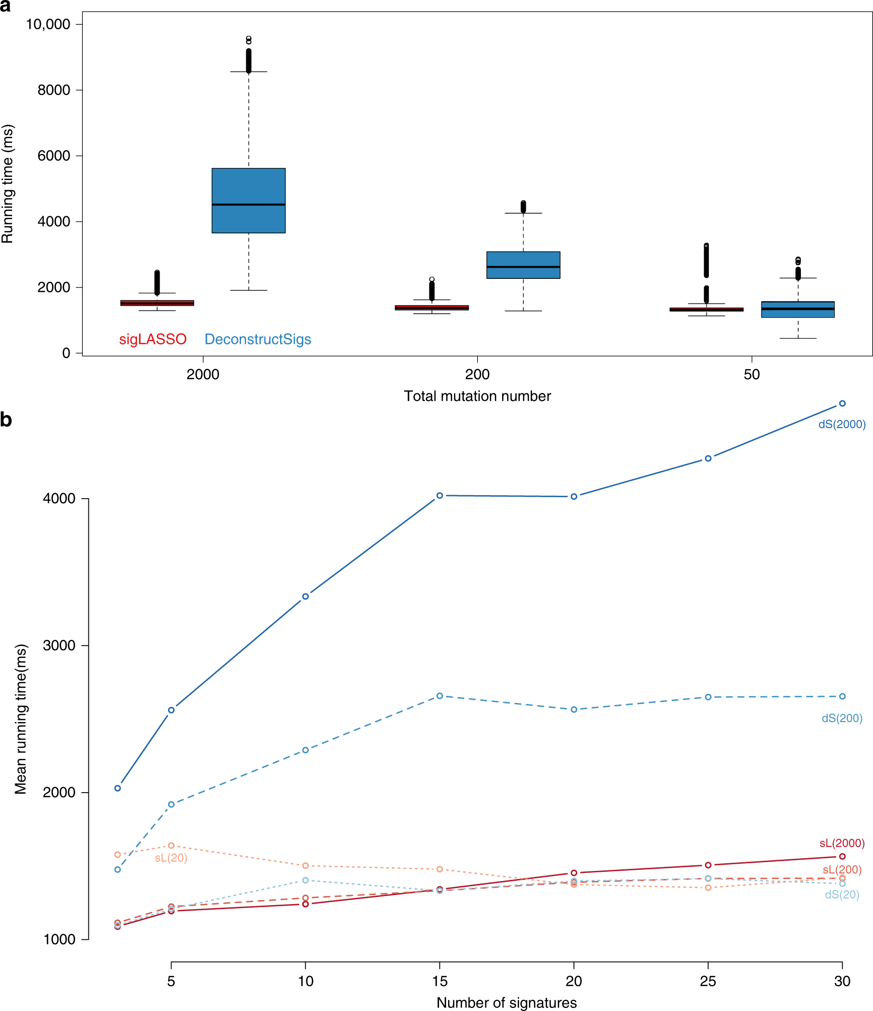
Fig. 5: sigLASSO is computationally efficient.
From: Using sigLASSO to optimize cancer mutation signatures jointly with sampling likelihood

a Running time of sigLASSO and deconstructSigs at different total mutations numbers. Box edges are the 25th and 75th percentiles and whiskers indicate the 1.5Ă— IQR or max/min, which ones are smaller. b Running time of sigLASSO at different numbers of signatures (downsampled from 30 COSMIC signatures) simulated with three different mutations numbers (in parenthesis). Noise level: 0.1 sL: sigLASSO, dS: deconstructSigs.