Fig. 2: Local vs nonlocal atomic spin squeezing.
From: Multiparameter squeezing for optimal quantum enhancements in sensor networks

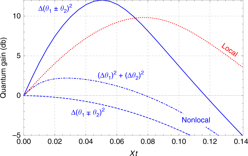
For a local parameter encoding with N = 100 particles, nonlocal squeezing, described by Eq. (14), leads to a larger quantum sensitivity gain for either the sum \(10{\mathrm{log}\,}_{10}({{\bf{n}}}_{+}^{T}{\Sigma }_{{\rm{SN}}}{{\bf{n}}}_{+}/{{\bf{n}}}_{+}^{T}\Sigma {{\bf{n}}}_{+})\) (continuous blue line) or the difference of two spatially distributed parameters \(10{\mathrm{log}\,}_{10}({{\bf{n}}}_{-}^{T}{\Sigma }_{{\rm{SN}}}{{\bf{n}}}_{-}/{{\bf{n}}}_{-}^{T}\Sigma {{\bf{n}}}_{-})\) (dashed blue line) than local squeezing, Eq. (15). Since the spin-squeezing matrix is diagonal when squeezing is local, both combinations of parameters, as well as their uncorrelated average, yield the same sensitivity (red dashed line). Nonlocal squeezing yields a lower quantum gain for the uncorrelated average \(10{\mathrm{log}\,}_{10}({\rm{Tr}}{\Sigma }_{{\rm{SN}}}/{\rm{Tr}}\Sigma )\) (dashed–dotted line). The plot shows data for local directions r1 and r2 chosen to maximize the gain for the sum. A local rotation transforms the sum of parameters into the difference and vice versa.