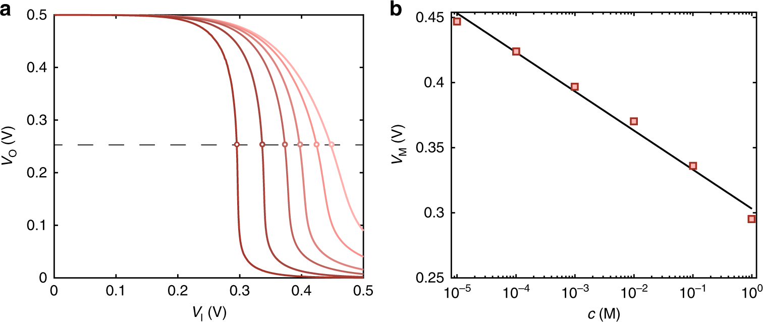
Fig. 2: Wide range operation.

a Measured (thick red lines) transfer characteristics of the organic electrochemical transistor complementary amplifier at various ion concentrations. From the rightmost to the leftmost characteristic the ion concentration is equal to [10−5, 10−4, 10−3, 10−2, 10−1, 1] M. b Measured VM as a function of c (square symbols). A sensitivity equal to SM = 30 mV dec−1 is obtained with the least square linear approximation (solid line) of the measurements.