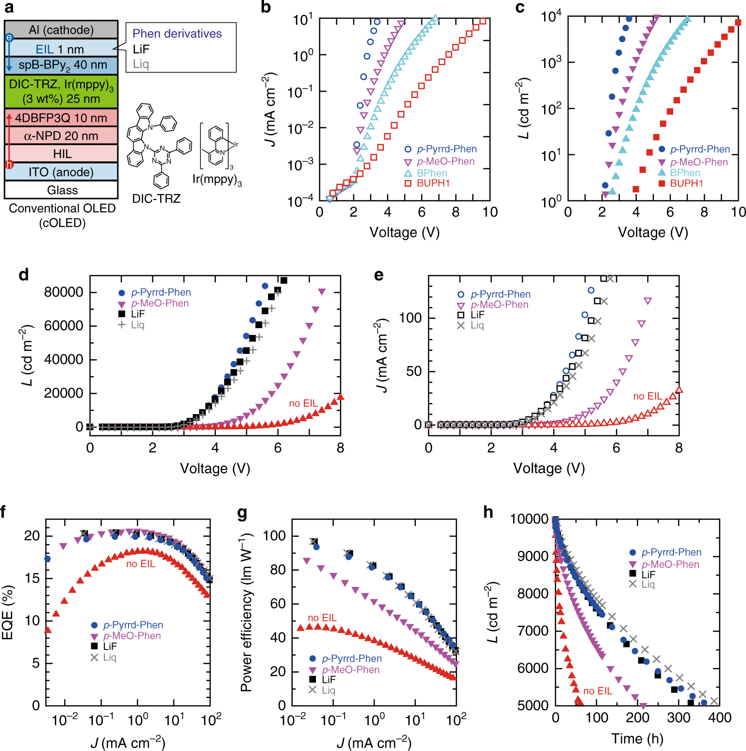
Fig. 4: Evaluation of EIL in cOLEDs.
From: Understanding coordination reaction for producing stable electrode with various low work functions

a Multilayer structure of a cOLED and chemical structure of the materials used in the emitting layer. b Luminance (L)–voltage and c current density (J)–voltage of cOLEDs prepared using four Phen derivatives. d L–voltage and e J–voltage characteristics of cOLEDs prepared using four EILs. f EQE–J curves of cOLEDs. g Power efficiency–J curves of cOLEDs. h Luminance–time characteristics of devices under a constant dc current.