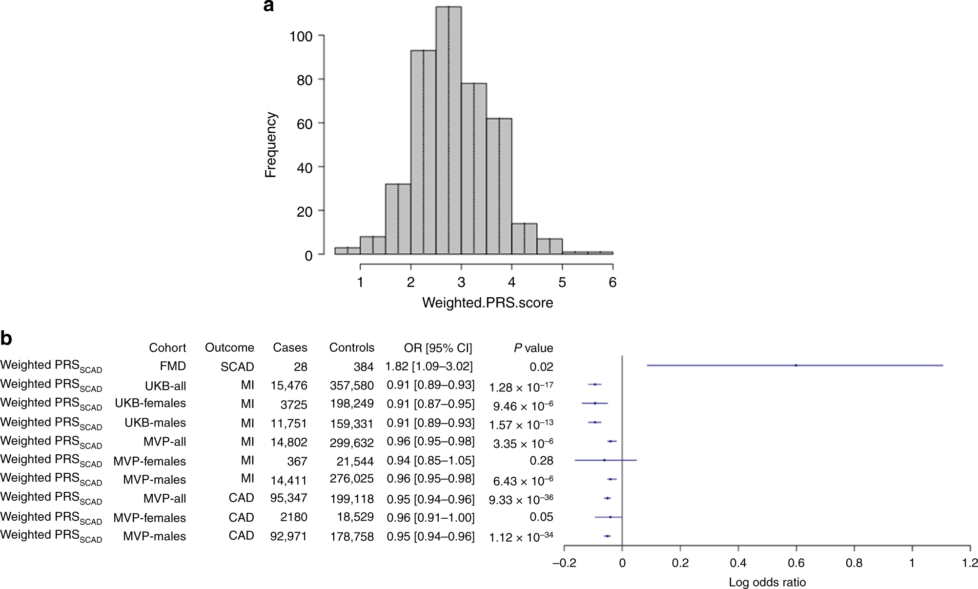
Fig. 4: PRSSCAD and prevalent SCAD and MI events in an FMD cohort and the UK Biobank.

a Histogram of the weighted PRSSCAD based on FMD cohort (N = 412) with overlaying the corresponding data points in each interval. b The ORs and corresponding 95% CIs are shown for the association of PRSSCAD with SCAD-MI, all MI, or CAD/MI, in the FMD cohort (n = 412, which includes 28 SCAD cases), UK Biobank (n = 373,056, which includes 15,476 CAD/MI cases), and MVP (n = 294,465, which includes 95,347 CAD cases; n = 314,434, which includes 14,802 MI cases). The logistic regression Wald statistic of two-sided P values are displayed. All models are adjusted by age, sex, and PCs. P values are unadjusted for multiple testing.