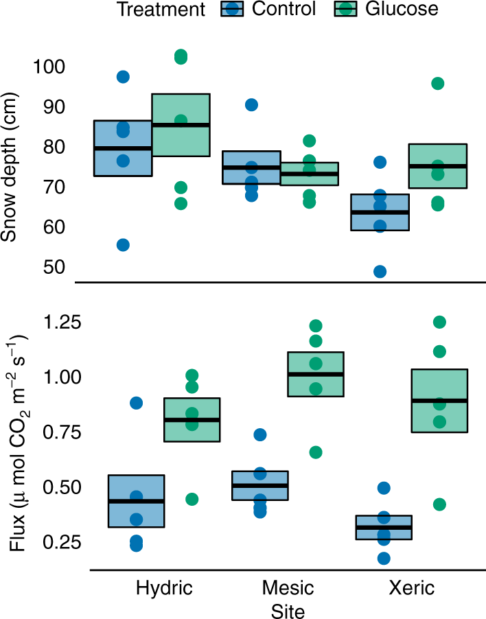
Fig. 4: Effects of glucose addition on CO2 efflux in the field.
From: Labile carbon limits late winter microbial activity near Arctic treeline

Measurements were made 72 h after applying 100 g C/m2 in the form of glucose powder to the soil surface of five treatment plots, which were paired with five corresponding control plots, at each of three treeline sites in late March of 2019. Soil surface temperatures were consistent and relatively warm (−2 to −0.5 °C) during the field glucose additions. Pre-treatment snow depths are shown in the upper panel. Analysis of covariance revealed a large effect of glucose addition on CO2 efflux (F1,24 = 52.5, P < 0.001, two-sided), which is a proxy for microbial activity. Individual points show plot-level means, while the boxes indicate the mean (center line) and ±1.0 S.E.M.