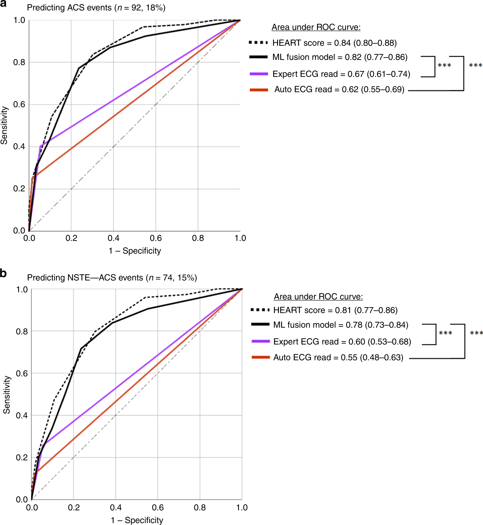
Fig. 3: Classification performance of final model on testing set (n= 499).

This figure compares the area under ROC curve (95% confidence interval) between our machine learning (ML) fusion model against experienced clinicians and against rule-based commercial interpretation software for detecting a any acute coronary syndrome (ACS) event, and b non-ST elevation acute coronary syndrome events (NSTE-ACS). ***p < 0.001 using two-sided DeLong’s nonparametric approach.