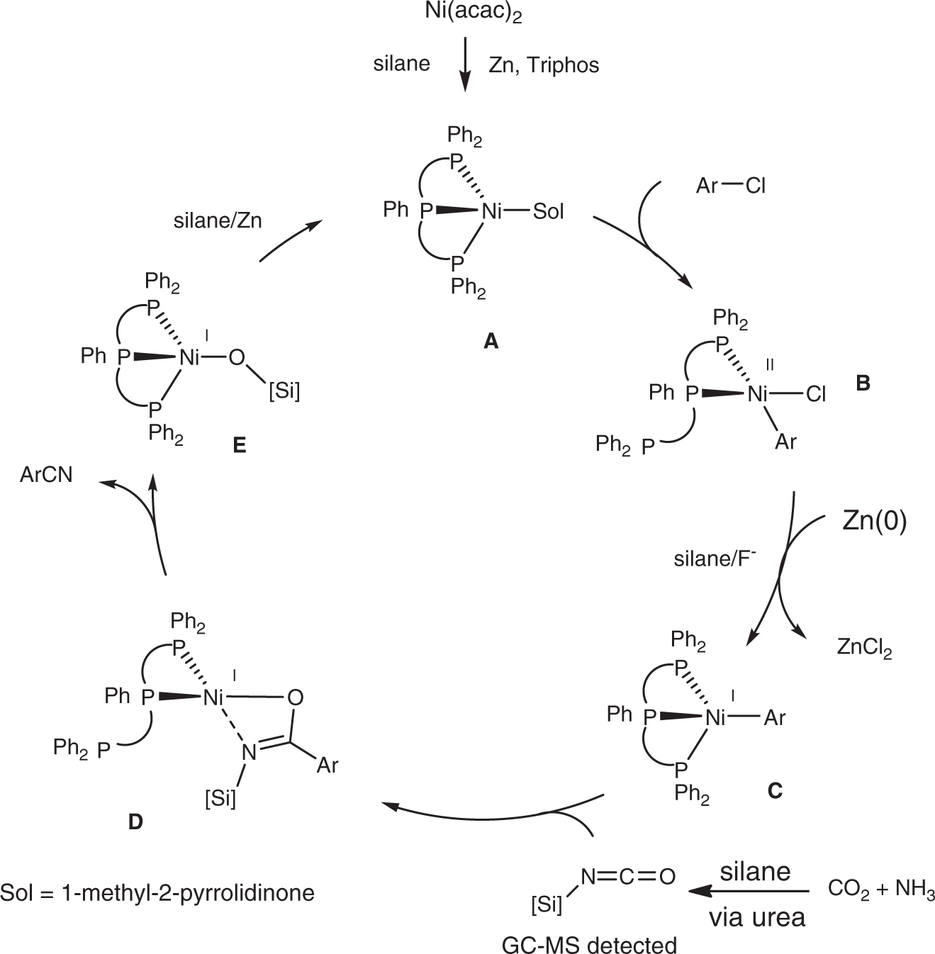
Fig. 8: Plausible reaction mechanism.
From: Reductive cyanation of organic chlorides using CO2 and NH3 via Triphos–Ni(I) species

Ni/phosphine-catalyzed reductive cyanation of organic chlorides using CO2/NH3.
From: Reductive cyanation of organic chlorides using CO2 and NH3 via Triphos–Ni(I) species

Ni/phosphine-catalyzed reductive cyanation of organic chlorides using CO2/NH3.