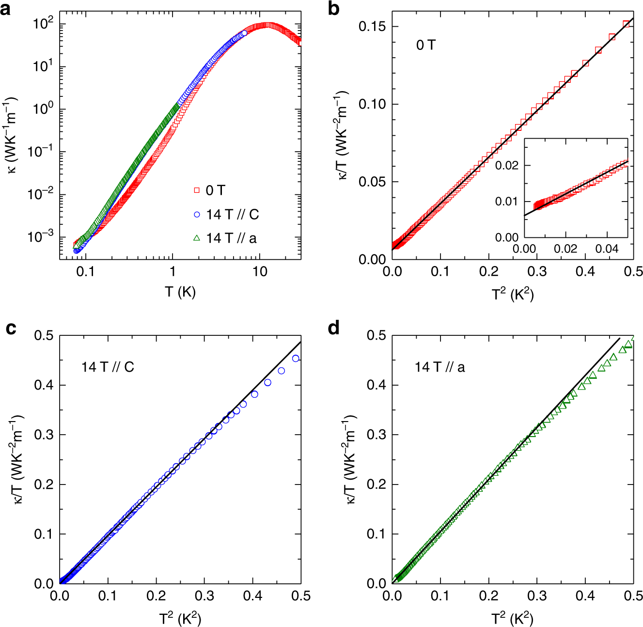
Fig. 2: Ultralow-temperature thermal conductivity of Na2BaCo(PO4)2.

a The zero-field thermal conductivity of Na2BaCo(PO4)2 in temperature range of 70 mK – 30 K. The heat current is along the a axis. The peak at 12 K is the so-called phonon peak. Also shown are the thermal conductivity in 14 T magnetic field along the c or the a axis. In most of this temperature region, high magnetic field enhances the thermal conductivity. b Data in zero field plotted in κ/T vs T2. The solid line is a linear fit of the data at T < 700 mK. A nonzero residual thermal conductivity κ0/T = 0.0062 WK−2 m−1 is resolved. The inset shows a magnified view of the lowest-temperature data. There is a very weak anomaly at T < 100 mK. c, d Thermal conductivity in 14 T magnetic field plotted as κ/T vs T2. The solid lines are a linear fits for data at T < 550 mK (for B // c) and at T < 500 mK (for B // a). There is no residual term (κ0/T = 0).