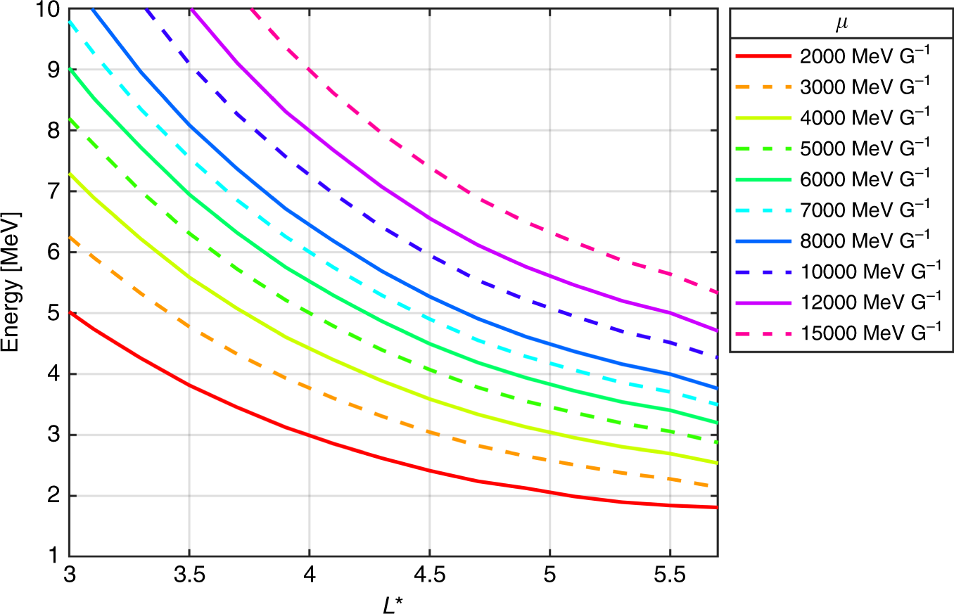
Fig. 2: The average electron energy, across L*, for various values of μ.
From: Local heating of radiation belt electrons to ultra-relativistic energies

Average energies corresponding to μ values between 2000 and 15,000 MeV G−1, for the 6–20 October 2012 period are shown. For all values of μ, K = 0.11 REG1/2. The μ value has been calculated using the locally measured magnetic field, while K and L* were calculated using TS0727.