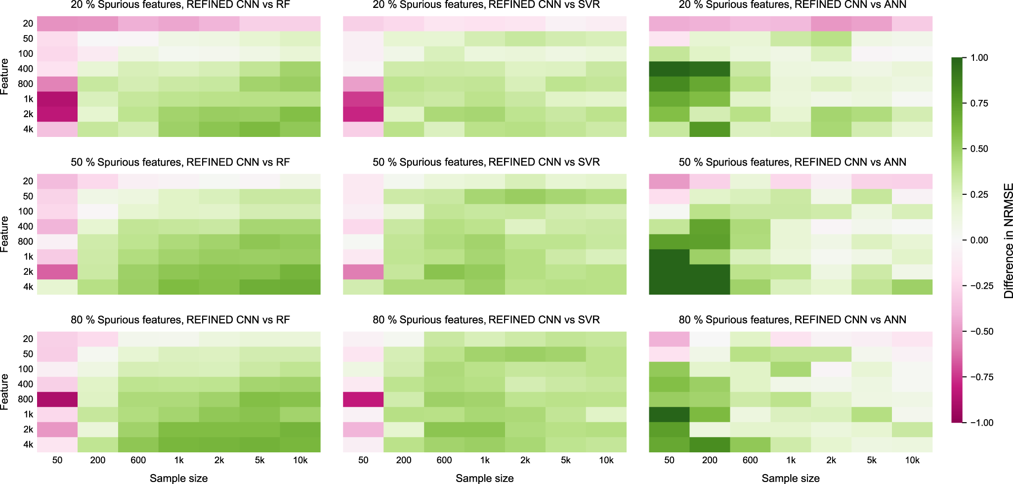
Fig. 2: Performance comparison for varying sample and feature sizes.

Differences in NRMSE values for REFINED-CNN with three competing models (RF, SVR, and ANN) for different sample sizes and feature sizes containing varying degrees of spuriosity. Each green heatmap region denotes a case where REFINED-CNN outperforms the other models.