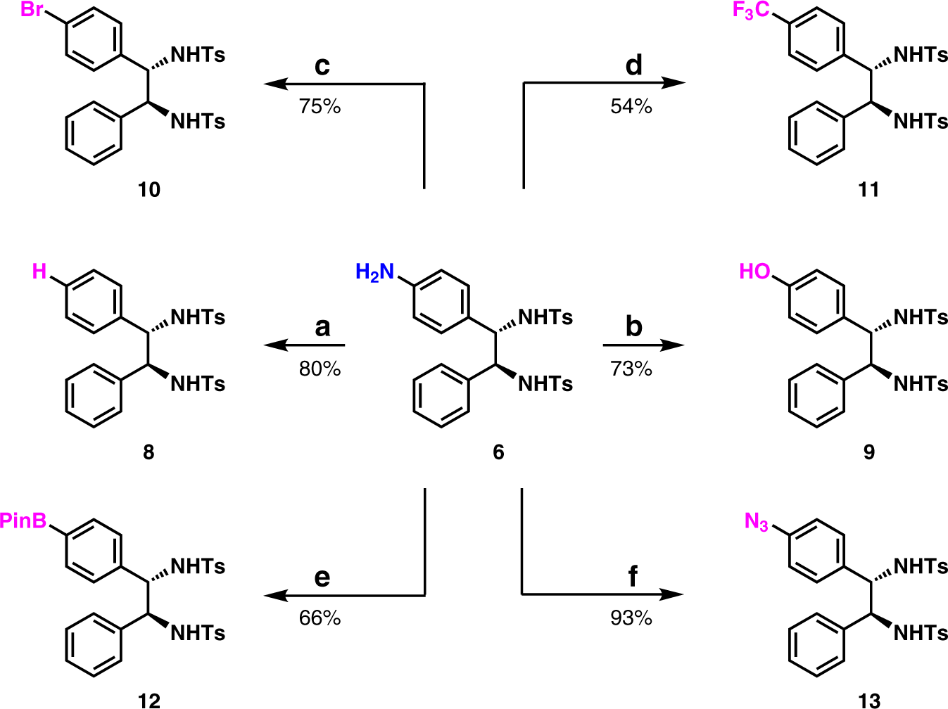
Fig. 5: Synthetic applications.

a Removal of the amine moiety. NaNO2, HCl, H3PO2, H2O, 0 °C. b transformation of the arylamine to phenol. NaNO2, H2SO4, H2O, 0 to 100 °C. c transformation of the arylamine to arylbromide. CuBr2 (1 mol %), tBuONO, TsOH, TBAB, MeCN, RT. d transformation of the arylamine to trifluoromethyl arene. tBuONO, HCl, AgCF3, MeCN, −40 °C. e Transformation of the arylamine to arylBPin. tBuONO, B2Pin2, MeCN, 80 °C. f Transformation of the arylamine to aryl azide. KHCO3, FSO2N3, MTBE/DMF/H2O, RT.