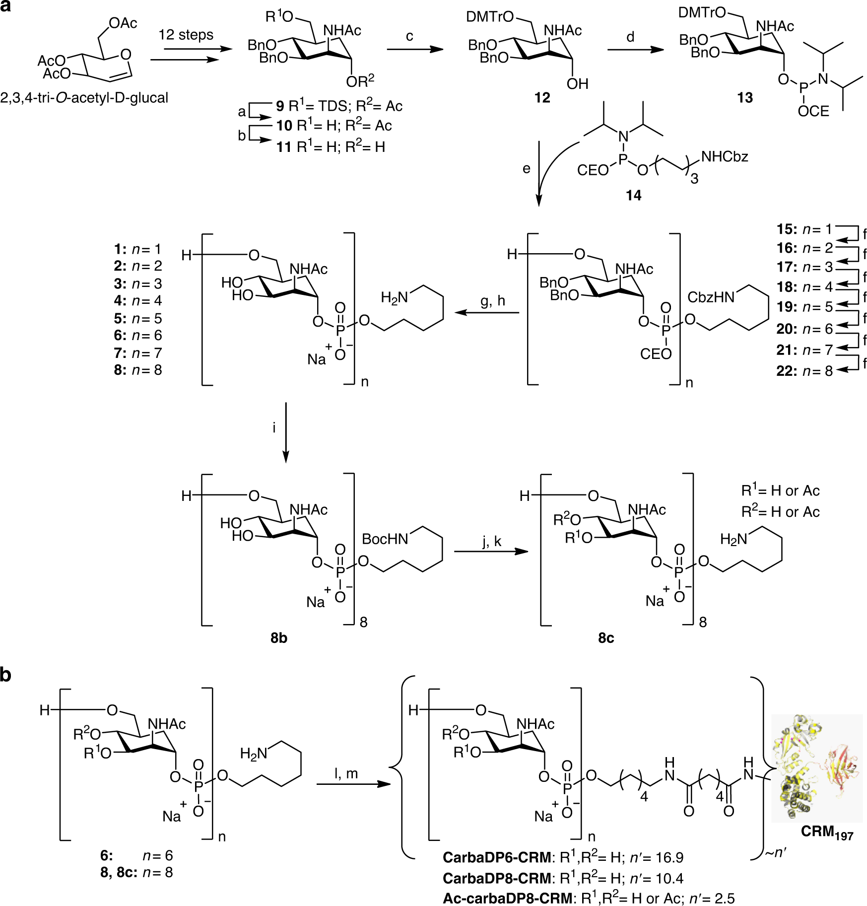
Fig. 2: A: oligomer assembly.

a TBAF, THF, 0 °C → rt, 92%. b NaOMe, MeOH, rt, 85%. c DMTrCl, Et3N, DCM, rt, 91%. d 2-cyanoethyl N,N-diisopropyl-chlorophosphoramidite, N,N-diisopropylethylamine, DCM, rt, 13 (94%). e I. 14, DCI, MeCN, II. CSO, MeCN, III. TCA, DCM, H2O, 94%. f I. 13, DCI, MeCN, II. CSO, MeCN, III. TCA, DCM, H2O, 16 (82%), 17 (95%), 18 (90%), 19 (92%), 20 (88%), 21 (86%), 22 (87%). g NH4OH, H2O, dioxane. h H2, Pd black, H2O, AcOH, 1 (99%), 2 (76%), 3 (69%), 4 (39%), 5 (88%), 6 (83%), 7 (77%), 8 (44%). i (Boc)2O, NaHCO3, rt, 16 h. j Ac2O/imidazole, 40 °C, ~9d. k TFA, rt, 1 h 56% over 3 steps. B: Conjugation to carrier protein. l di-N-hydroxysuccinimidyl adipate, TEA, DMSO. (m) CRM197, NaPi pH = 7.2.