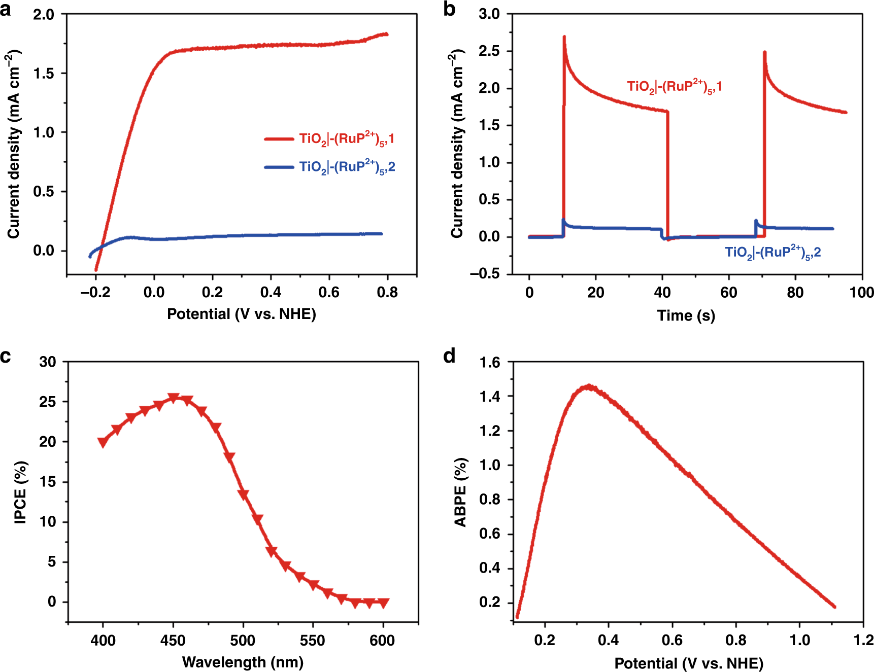
Fig. 3: Photocurrent and efficiencies of photoanodes.

a Potential dependence of photocurrents for TiO2|-(RuP2+)5,1 and TiO2|-(RuP2+)5,2 with illumination above 400 nm at 100 mW cm−2 at pH 5.8 in a 0.1-M acetate buffer containing 0.5 M NaClO4. b As in a, current density-time traces for TiO2|-(RuP2+)5,1 and TiO2|-(RuP2+)5,2 at a constant bias of 0.2 V vs. NHE. c Incident photon-to-current efficiencies (IPCEs) for TiO2|-(RuP2+)5,1 at 0.2 V vs. NHE. d Applied bias photon-to-current efficiencies (ABPEs) for TiO2|-(RuP2+)5,1 for photoelectrochemical water splitting.