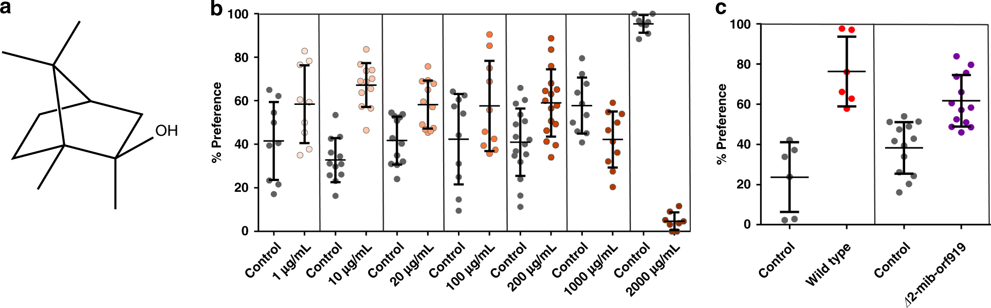
Fig. 4: Adult flies are attracted to Streptomyces cultures and 2-MIB.
From: Chemical entrapment and killing of insects by bacteria

a Structure of 2-MIB. b Preference of adult flies to pure 2-MIB. Darker colours indicate a higher concentration of 2-MIB. The number of flies that preferred positions closer towards either the control or 2-MIB odorant was calculated as a percentage of total flies within the T-maze. c Adult flies placed in an enclosed space selected between a control (PBS) or contaminated food source. Contaminated food sources contained liquid culture of either the wild type or a 2-MIB deletion mutant of WAC-288. Solid horizontal lines represent the measure of centre as the mean of each data set. Error bars indicate the standard deviation of all biological and technical replicates. A two-tailed P-value of 0.014 (n = 6) (wild-type) and 0.123 (n = 13) (2-MIB) was calculated where a p < 0.05 is considered significant.