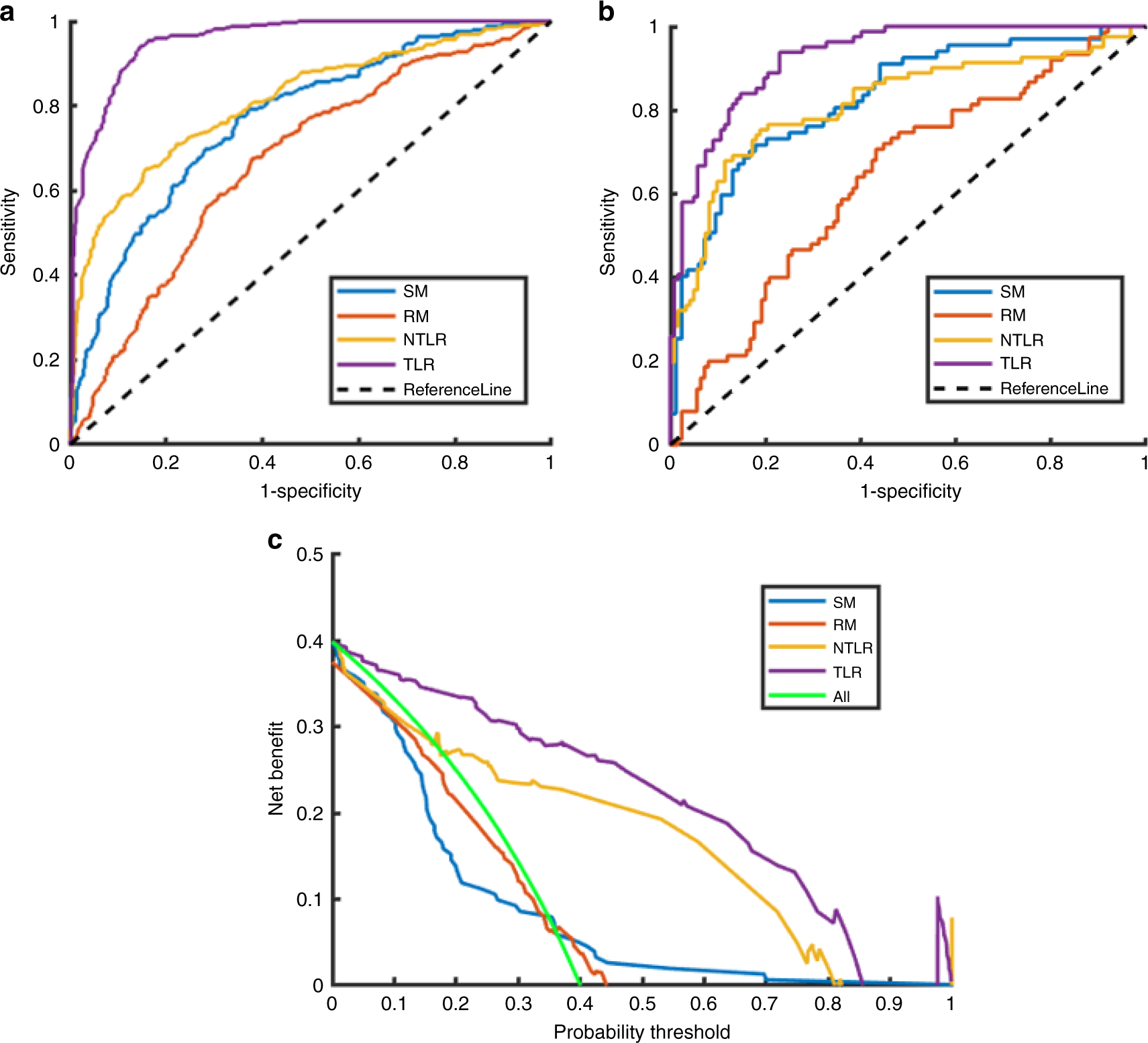
Fig. 1: Comparison of ROC curves of LNM prediction in the main cohort by four models.
From: Lymph node metastasis prediction of papillary thyroid carcinoma based on transfer learning radiomics

a ROC curves in the cross-validation set, b ROC in testing set, and c decision curves in the testing set. (SM statistical model, RM traditional radiomics model, NTLR nontransfer learning radiomics, TLR transfer learning radiomics).