Fig. 4: Bound-state dissipation and critical velocity.
From: Fundamental dissipation due to bound fermions in the zero-temperature limit

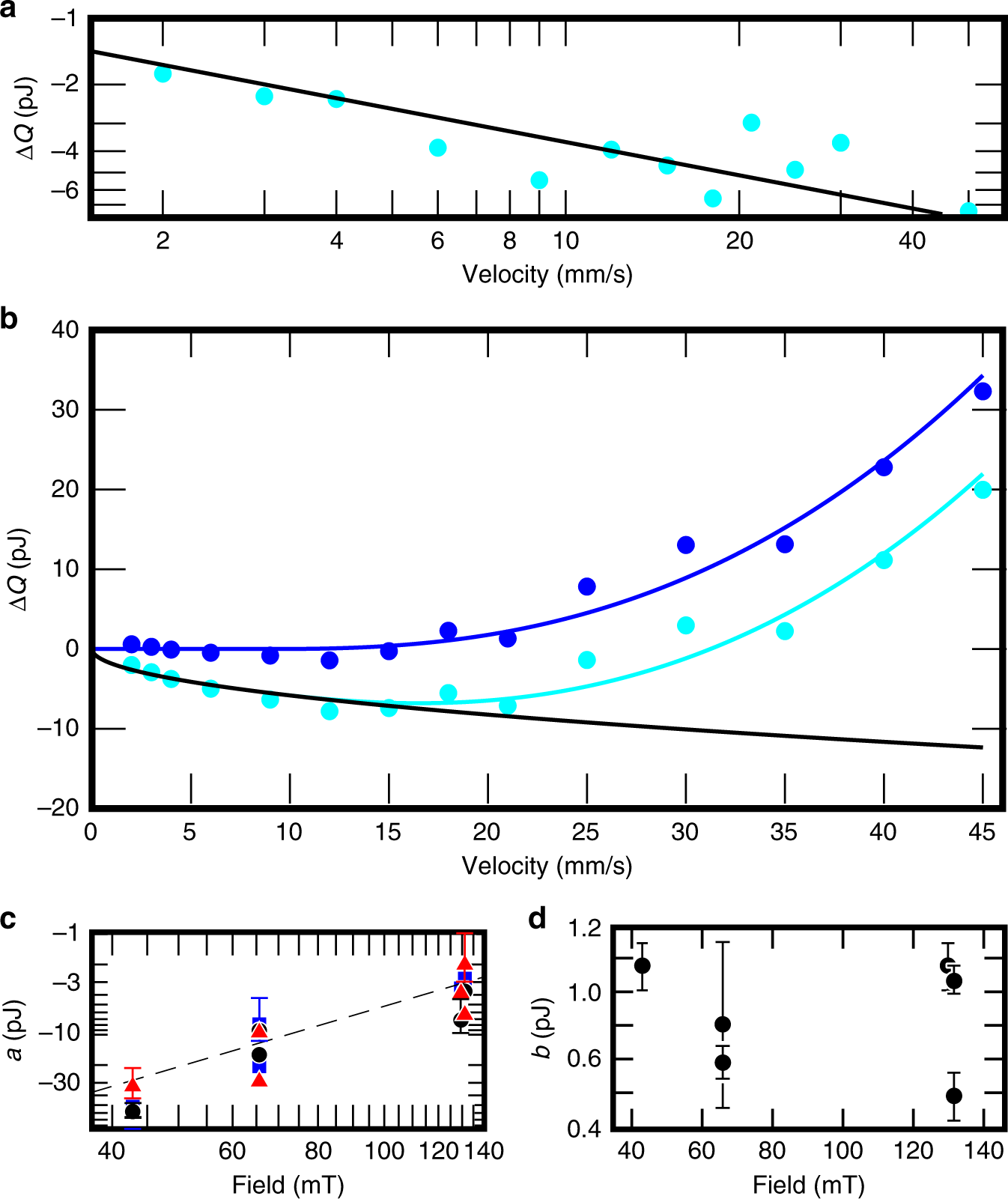
a The measured hysteretic difference in dissipation with Δt = 50 ms (cyan circles) follows the empirical power law \(\Delta Q=a{(v/{v}_{{\rm{c}}})}^{1/2}\) (solid line), as clearly seen in log scale. b When Δt = 0 (cyan circles), the hysteretic contribution can be removed by fitting the data at v ≤ 9 mm s−1 with the above power law (solid black line). After subtracting this fit, the data (blue circles) follows \(\Delta Q=b{((v-{v}_{{\rm{c}}})/{v}_{{\rm{c}}})}^{2.5}\) (solid blue line) above vc = 9 mm s−1, and ΔQ = 0 for v <  vc, as explained in the text. The sum of the two fits is shown by the cyan line. The fitted values of a are shown in panel (c): Fits to data where Δt = 0 are shown with black circles, Δt = 50 ms corresponds to blue squares, and Δt = 100 ms is shown as red triangles. The dashed line is a guide to the eye that corresponds to a = −5.0/H2nJ mT2. Panel (d) shows fitted values of b (black circles), which within the scatter of the data are independent of H as expected. The temperature varied from 150 μK to 190 μK in these measurements. All data in this figure were obtained with 4He preplating. Selected error bars in panel c correspond to one standard deviation of the fits to illustrate the point-wise scatter (omitted error estimates are similar and can be found in the data container, see the data availability statement), and in panel d to the 68% confidence interval of the fits.