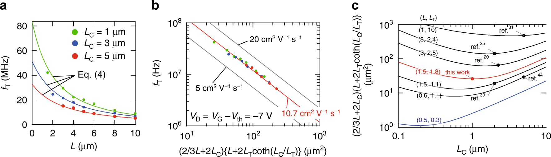
Fig. 5: Correlation of the static and dynamic electrical performances of the OFETs.

a Dependence of fT on L with various values of LC. Solid curves represent theoretical fT values derived from Eq. (4). b Dependence of fT on the OFET areal factor \((\frac{2}{3}L+2{L}_{{\rm{C}}})\cdot \left\{L+2{L}_{{\rm{T}}}\coth \left(\frac{{L}_{{\rm{C}}}}{{L}_{{\rm{T}}}}\right)\right\}\). The red line represents data with μint = 10.7 cm2 V−1 s−1. c Dependence of the areal factor on LC with various combinations of L and LT. Values in parentheses represent L and LT. Solid curves indicate the theoretical areal factors that are uniquely defined when three length parameters are given. Red curve: data calculated with the experimentally determined values of L and LT. Black curves: data calculated using L and LT values estimated from previous studies. Blue curve: data that reproduces the areal factor of 1 μm2. Circles plotted on each curve represent the experimentally obtained areal factors. Areal factors are adapted from references: 472 μm2 (fT = 2.2 MHz) for Ante et al. (Max Planck group)31, 140 μm2 (no fT data) for Borchert et al. (Max Planck group)35, 63 μm2 (fT = 20 MHz) for Yamamura et al. (this group)20, 29 μm2 (fT = 21 MHz) for Borchert et al. (Max Planck group)44, 26 μm2 (fT = 45 MHz) for this work, and 19 μm2 (fT = 38 MHz) for Yamamura et al. (this group)30.