Fig. 1: Long-range stress correlation at finite temperatures.
From: Emergent solidity of amorphous materials as a consequence of mechanical self-organisation

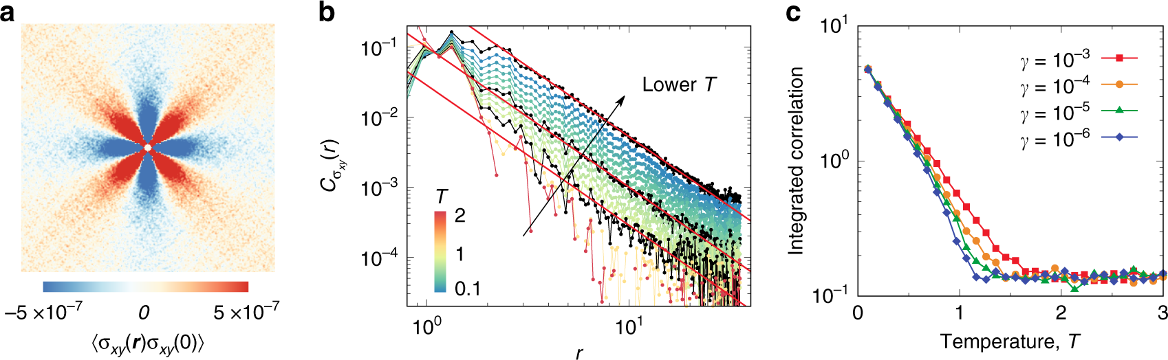
a Spatial correlation of shear stress σxy at T = 0.1. b Angle-averaged shear-stress correlation \({C}_{{\sigma }_{xy}}(r)\) at temperatures covering both liquid and solid regimes. The ensemble of configurations is generated by a constant cooling rate γ = 10−5. The data colour changes from red to blue with a decrease in T. Three sets of data are highlighted in black colour, which, from top to bottom, correspond to T = 0, the hypothesized ideal glass transition temperature T0 ≈ 0.63, and slightly below the glass transition temperature Tg ≈ 1.3. The red solid lines are fits to the power-law function of 1/r2, indicating the emergence of the long-range correlation below Tg. c Temperature dependence of integrated shear-stress correlations for different cooling rates γ. The γ-dependent non-equilibrium glass transition is signalled by the onset of the growth of shear stress correlation (see Fig. 5 below for the corresponding analysis of shear modulus). See text for detailed definitions.