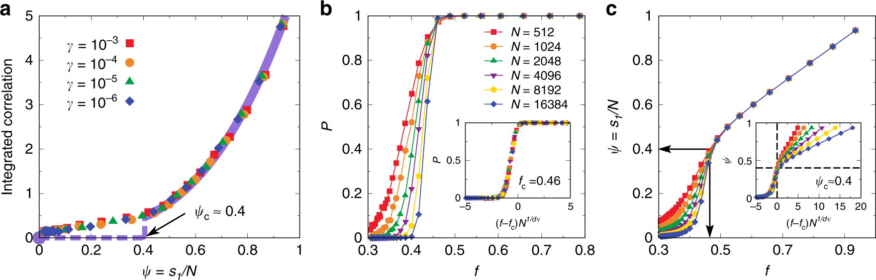
Fig. 4: Percolation of force-bearing particles gives rise to long-range stress correlation.
From: Emergent solidity of amorphous materials as a consequence of mechanical self-organisation

a Corresponding to Fig. 1c, the integrated shear-stress correlations for different cooling rates γ are plotted as a function of the relative size of the largest force-bearing network ψ = s1/N, with N = 4096. The nice collapse of the data at different γ suggests that the shear-stress correlation, more specifically, its far-field behaviour, is uniquely controlled by the largest force-bearing network. Note that many high-temperature data points of liquids have rather low but finite values of both the integrated correlation and ψ, and the nonequilibrium glass transition is signalled by the rapid growth of both of them. However, the finite-size scaling of ψ (see b and c) reveals that the non-zero values of both the integrated shear-stress correlation and ψ below the percolation threshold (left-lower side) actually originate from finite-size effects. Therefore, in the large system-size limit, the filled circle at the origin should describe all liquid states. Then, the dashed line indicates the abrupt emergence of percolated force-bearing network and long-range stress correlations across the nonequilibrium glass transition, and the solid line illustrates the general relation between them for a further decrease of temperature. b Percolation probability P as a function of the fraction of force-bearing particles f for different system-sizes N at γ = 10−4. Inset: Scaling collapse of P from different system sizes. Here d = 2 is the spatial dimension, ν = 4/3 is the scaling exponent, and fc = 0.46 is the critical occupation fraction. c Corresponding to (b), the relative size of the largest cluster ψ = s1/N as a function of f for different system sizes. The vertical and horizontal arrows indicate fc = 0.46 and the corresponding ψc, respectively. Inset: Scaling collapse of ψ from different system sizes below the percolation transition, using the same fc and ν as the inset of (b). The horizontal dashed line indicates ψc ≈ 0.4 at the percolation threshold fc. Taken together, both (b) and (c) indicate that, when N → ∞, an abrupt formation of system-spanning force-bearing network takes place across the nonequilibrium glass transition.