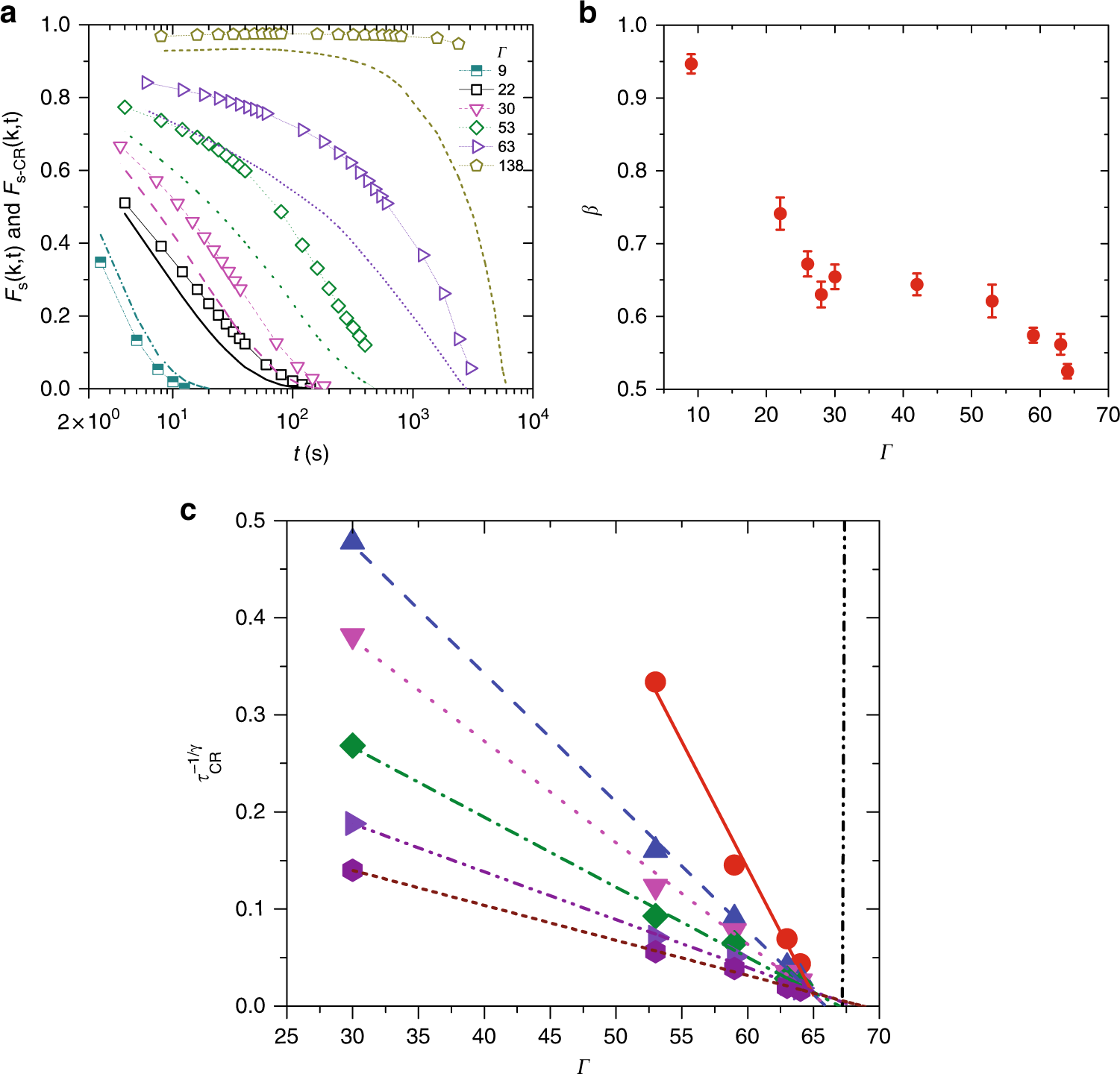
Fig. 2: Testing predictions of MCT on a sphere.

a The normal self-intermediate scattering functions Fs(k, t) (lines) and the cage-relative self-intermediate scattering function Fs−CR(k, t) (symbols) for various Γ values. At low Γ, since the cage around the particle is itself quite mobile, when computing the cage-relative measure, a random displacement due to cage motion also contributes to the particle displacement over and above that due to its Brownian motion. Thus, Fs−CR(k, t) decays faster than Fs(k, t). As Γ is increased and the cages become more rigid, this effect diminishes and the decay of Fs−CR(k, t) is slower than Fs(k, t). b Variation of the stretching exponent β, obtained from fits to Fs−CR(k, t), with Γ. The error bars represent the standard error (SE) and are obtained from fits to the data. c \({\tau }_{\mathrm{CR}}^{-1/\gamma }\) versus Γ for various wavevectors k. k = 3.69 (red circles), k = 2.99 (blue triangles), k = 2.73 (magenta triangles), k = 2.32 (olive green squares), k = 1.90 (violet triangles), and k = 1.53 (wine hexagons). The vertical black line shows the mode-coupling glass transition. The power-law exponent was found to be γ = 1.89.