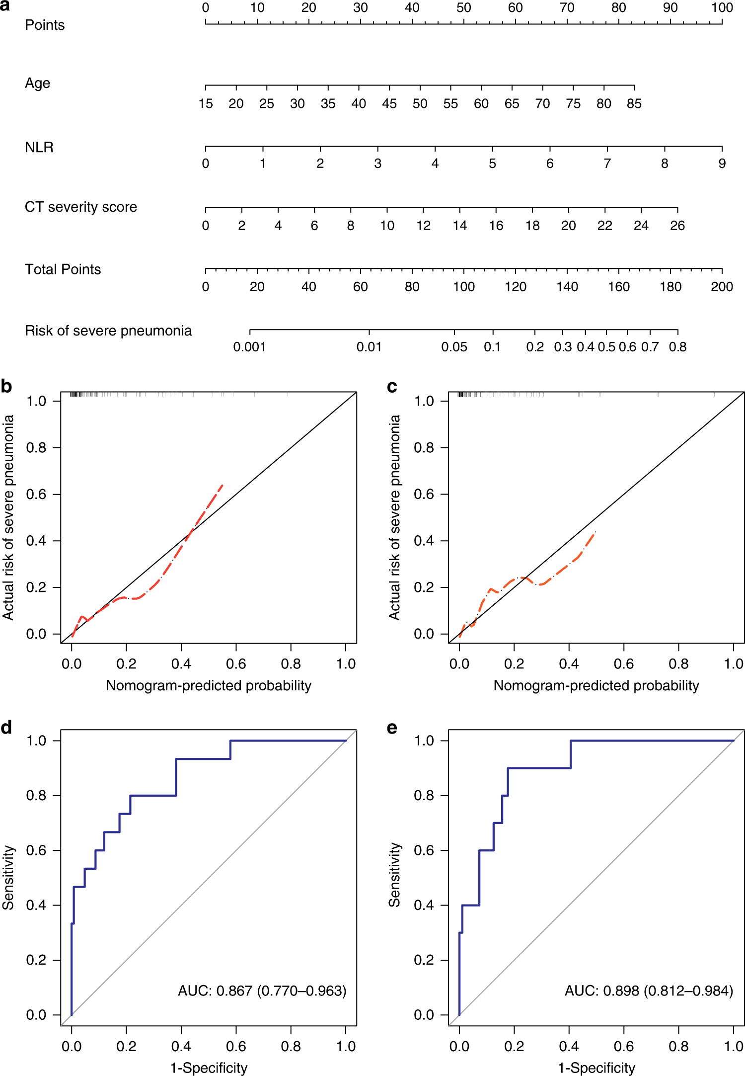
Fig. 3: Development and performance of nomogram.

a A nomogram for the prediction of developing severe COVID-19 pneumonia. Calibration curves of the nomogram in the derivation (b) and validation (c) cohorts, respectively, which depict the calibration of the nomogram in terms of the agreement between the predicted risk of severe COVID-19 pneumonia and observed outcomes. The 45° blue line represents a perfect prediction, and the dotted red lines represent the predictive performance of the nomogram. The closer the dotted red line fit is to the ideal line, the better the predictive accuracy of the nomogram is. Plots show the ROC curves of the nomogram in the derivation (d) and validation (e) cohorts, respectively.