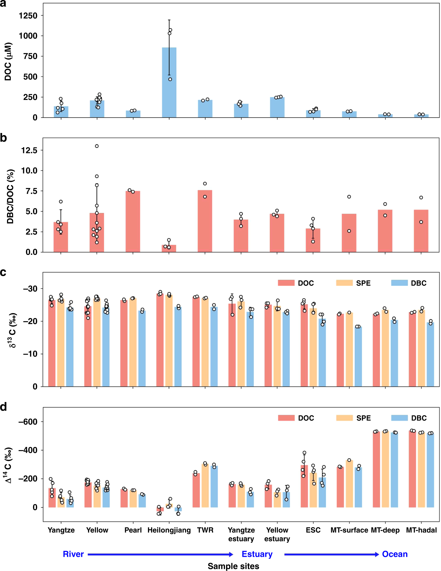
Fig. 1: Distribution of the concentrations and isotopic compositions.

a The concentrations of DOC, b DBC/DOC ratios, c the δ13C values, and d the Δ14C values of DOC, SPE-DOC, and DBC in the Yangtze (n = 5), Yellow (n = 12), Heilongjiang (n = 3), Pearl (n = 2), and Taiwan rivers (TWR, n = 2), the Yangtze River Estuary (n = 3), the Yellow River Estuary (n = 3), the East China Sea (ECS) (n = 4), and the Mariana Trench (MT) site in the North Pacific (NP) (n = 2 MT-surface, n = 2 MT-deep, n = 2 MT-hadal) (DOC dissolved organic carbon, SPE-DOC solid phase extracted dissolved organic carbon, DBC dissolved black carbon). The bar charts are the means and the error bars are the calculated standard deviations (SD) of the data group (for n ≥ 3). The black circles are corresponding data points.