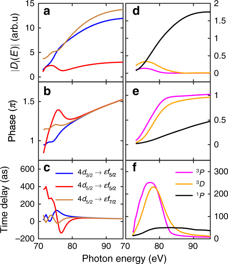
Fig. 4: Transition matrix elements.
From: Attosecond electron–spin dynamics in Xe 4d photoionization

a, d Modulus, b, e phase and c, f time delay of the transition matrix element Di(E) as a function of photon energy for the coupled channels (a–c) 4d3/2 → ϵf5/2 (blue), 4d5/2 → ϵf5/2 (red), 4d5/2 → ϵf7/2 (brown) and eigenchannels (d–f) 1P (black), 3P (magenta), 3D (orange), extracted from ref. 12. We exclude the Coulomb phase-shift in b, e and c, f. A π phase shift has been added to the phase of 4d5/2 → ϵf5/2 for better comparison. The time delay is the energy derivative of the phase.