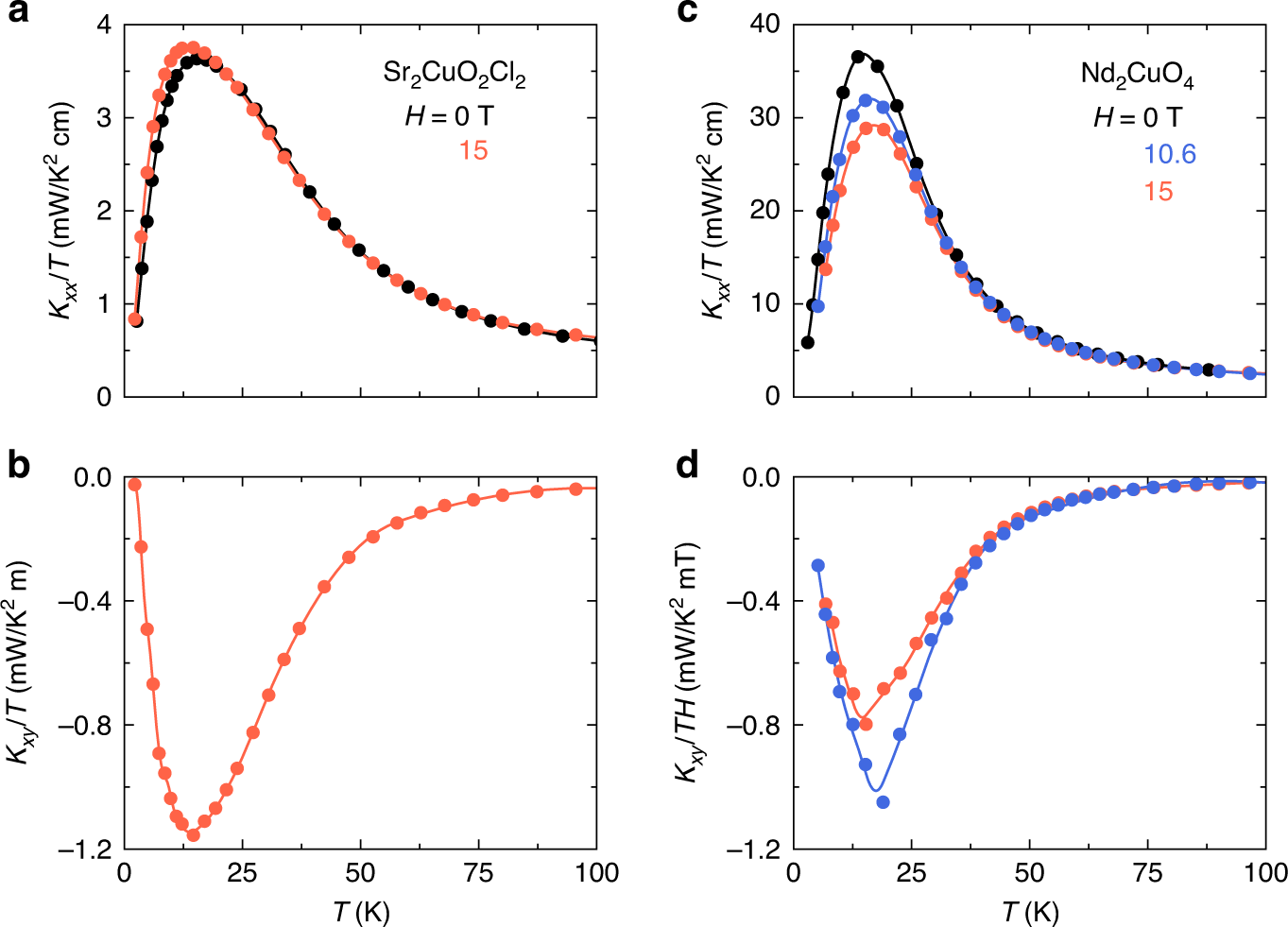
Fig. 2: Thermal transport in Sr2CuO2Cl2 and Nd2CuO4.
From: Thermal Hall conductivity in the cuprate Mott insulators Nd2CuO4 and Sr2CuO2Cl2

a Thermal conductivity of Sr2CuO2Cl2 (sample A) in zero field (H = 0, black) and in a field of 15 T applied parallel to the c-axis (light red), plotted as κxx/T vs T. The field is seen to increase κxx slightly at low temperature. b Thermal Hall conductivity of Sr2CuO2Cl2 (same sample) in a field of 15 T applied parallel to the c-axis, plotted as κxy/T vs T. c Thermal conductivity of Nd2CuO4, plotted as κxx/T vs T, for three values of the magnetic field applied parallel to the c-axis: H = 0 (black), H = 10.6 T (blue), and H = 15 T (light red). In this case, the field is seen to decrease κxx at low temperature. d Thermal Hall conductivity of Nd2CuO4, plotted as κxy/(TH) vs T, for two values of the magnetic field applied parallel to the c-axis: H = 10.6 T (blue); H = 15 T (light red). The Hall conductivity κxy is seen to be sublinear in H at low T and linear in H at high T (T > 50 K). All lines are a guide to the eye.