Fig. 4: Ratio of κxy over κxx.
From: Thermal Hall conductivity in the cuprate Mott insulators Nd2CuO4 and Sr2CuO2Cl2

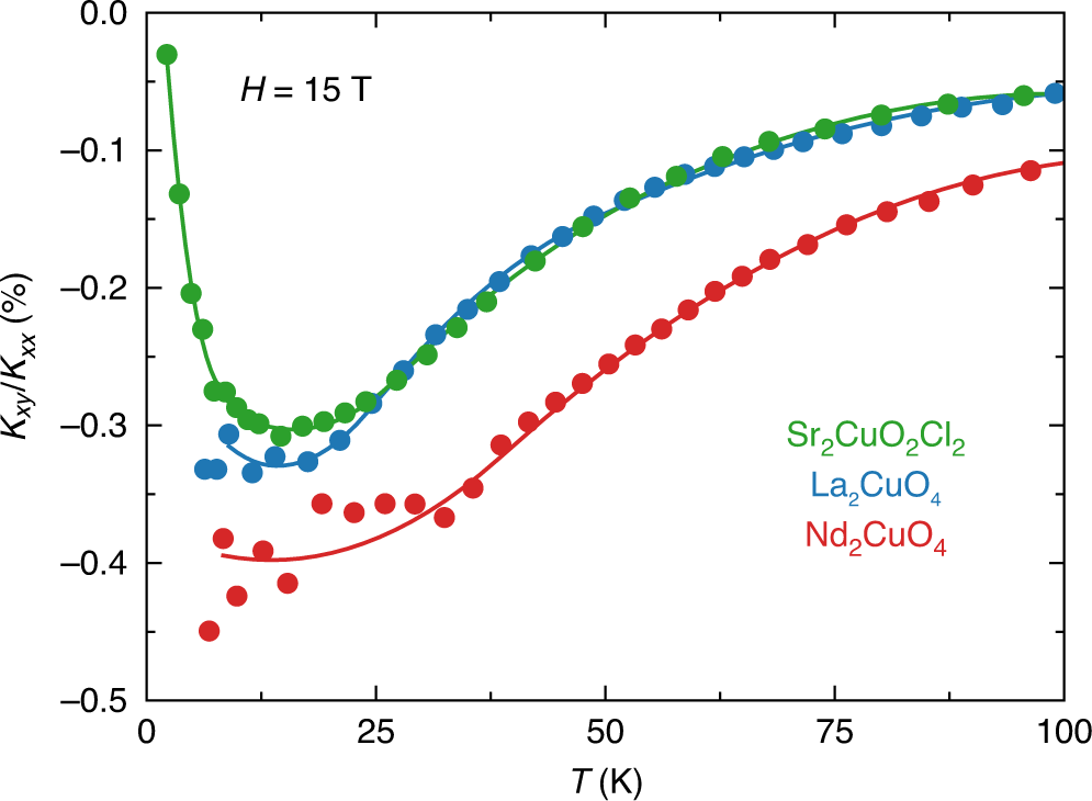
Ratio of κxy over κxx in the three cuprate Mott insulators (expressed in %), measured in a field of 15 T applied parallel to the c-axis: Sr2CuO2Cl2 (green), La2CuO4 (blue), and Nd2CuO4 (red). All lines are a guide to the eye. We see that despite a factor 10 in the magnitude of κxy between Sr2CuO2Cl2 and Nd2CuO4 (Fig. 2), the ratio κxy/κxx is very similar in magnitude for all three cuprates.