Fig. 1: Behavioral changes in the offspring of PolyI:C-treated mothers.
From: Increased RNA editing in maternal immune activation model of neurodevelopmental disease

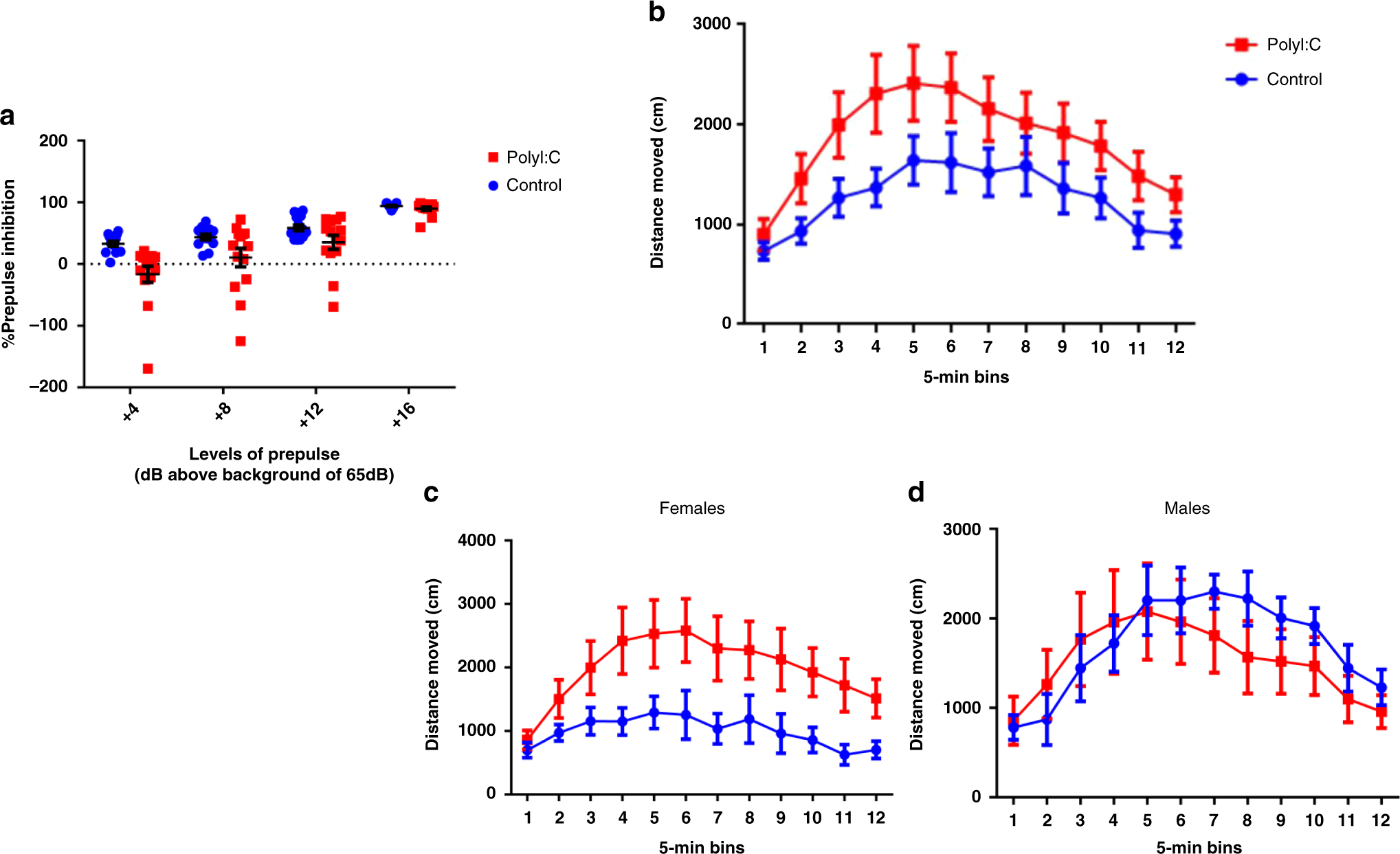
a PPI data (mean ± SEM) shows the percent of prepulse inhibition of the startle response following the presentation of prepulse-plus-pulse acoustic stimuli. PolyI:C offspring showed a significant PPI deficiency (n = 13 Control and n = 14 for PolyI:C, two-sided p value = 0.002; obtained from F test with (2,26) degrees of freedom) compared to controls at four different prepulse intensities (69, 73, 77, and 81 dB), regardless of gender. b Locomotor activity measured following an initial 30-min habituation period, a 30-min period following an injection of saline, and a 1-h period following a challenge injection of 2.5 mg/kg amphetamine (data only shown for last segment). PolyI:C mice displayed enhanced locomotor activity compared to control mice (n = 13 for Control and n = 14 for PolyI:C, two-sided p value = 0.02; obtained from F test with (1,26) degrees of freedom), and the effect was stronger in females than in males (c females: n = 8 for Control, n = 7 for PolyI:C, two-sided p value = 0.03; obtained from F test with (1,13) degrees of freedom; d males: n = 5 for Control, n = 7 for PolyI:C, two-sided p value = 0.74; obtained from F test with (1,11) degrees of freedom). All values are means ± SEM. Source data are provided as a Source Data file.