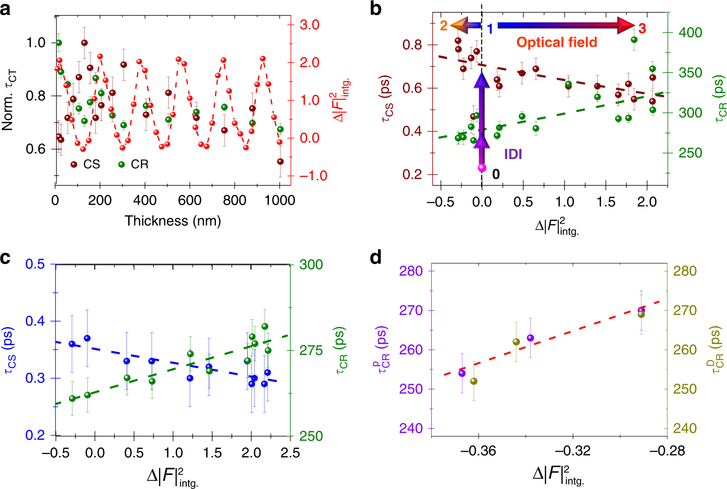
Fig. 6: Analysis of charge-transfer-dynamic-nanophotonic control by nonlocal enhanced optical-field effects.
From: Optical-field driven charge-transfer modulations near composite nanostructures

a Variations of charge separation (CS,
) and charge recombination (CR,
) normalized dynamics and integral of the optical field (
) as a function of the Al2O3-top-layer thickness. b Linear charge separation (CS:
) and recombination (CR:
) dynamics dependence with the integral of optical field intensity of a 725-nm-incident beam across the organic Donor:Acceptor thin films on top of 4p-composite nanostructures. The bottom pink data points were obtained on fused silica substrate, the vertical and horizontal arrows materialize nonlocal image-dipole-interaction (IDI) effects and nonlocal enhanced optical-field effects, labeled (0), (1) and (2-3), respectively. c Linear charge separation (CS:
) and recombination (CR:
) dynamics dependence with the integral of 725 nm optical field intensity across the organic Donor:Acceptor thin films on top of 200-nm-Ag-composite nanostructures. d Charge-recombination dynamics plotted against the integral of 725-nm-optical-field intensity for different probe-beam powers (CR-P:
) and diameters (CR-D:
) measured on top of Ag-Al2O3 composite nanostructures covered with 125 nm thick Al2O3. The dashed lines are a guide.