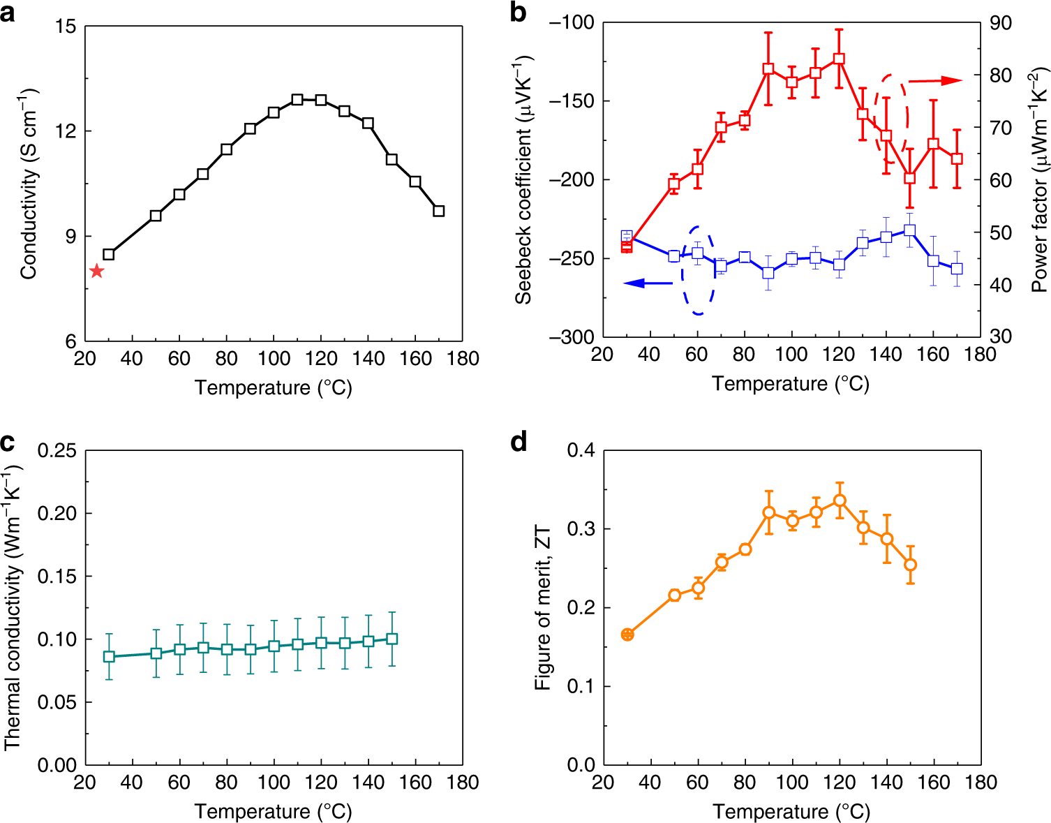
Fig. 5: Temperature dependent thermoelectric parameters.
From: N-type organic thermoelectrics: demonstration of ZT > 0.3

a electrical conductivity (the red star represents the conductivity after cooling down to 25 °C), b Seebeck coefficient (blue) and power factor (red), c in-plane thermal conductivity and d figure of merit, ZT at various operating temperatures for the doped PTEG-2 film at a 5 wt% doping concentration. Error bars (b, c) represent the standard errors of Seebeck coefficient and thermal conductivity obtained by best-fits; error bars (d) represent the corresponding calculated deviations of ZT.