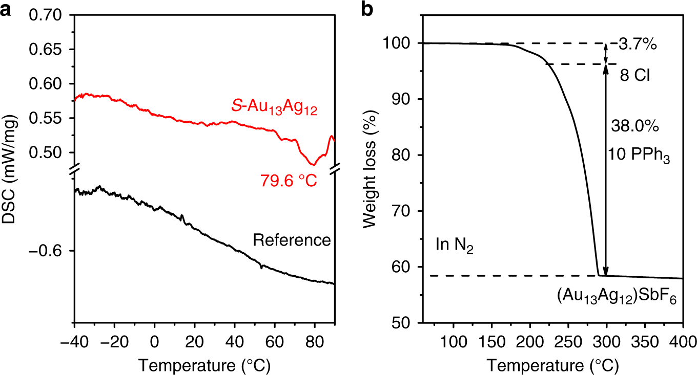
Fig. 6: Thermal analysis of the Au13Ag12 nanoclusters.
From: Atomically precise nanoclusters with reversible isomeric transformation for rotary nanomotors

a DSC analysis for the conversion of the S-Au13Ag12 to E-Au13Ag12 under a N2 atmosphere. b TGA test of the Au13Ag12 nanoclusters under a N2 atmosphere.