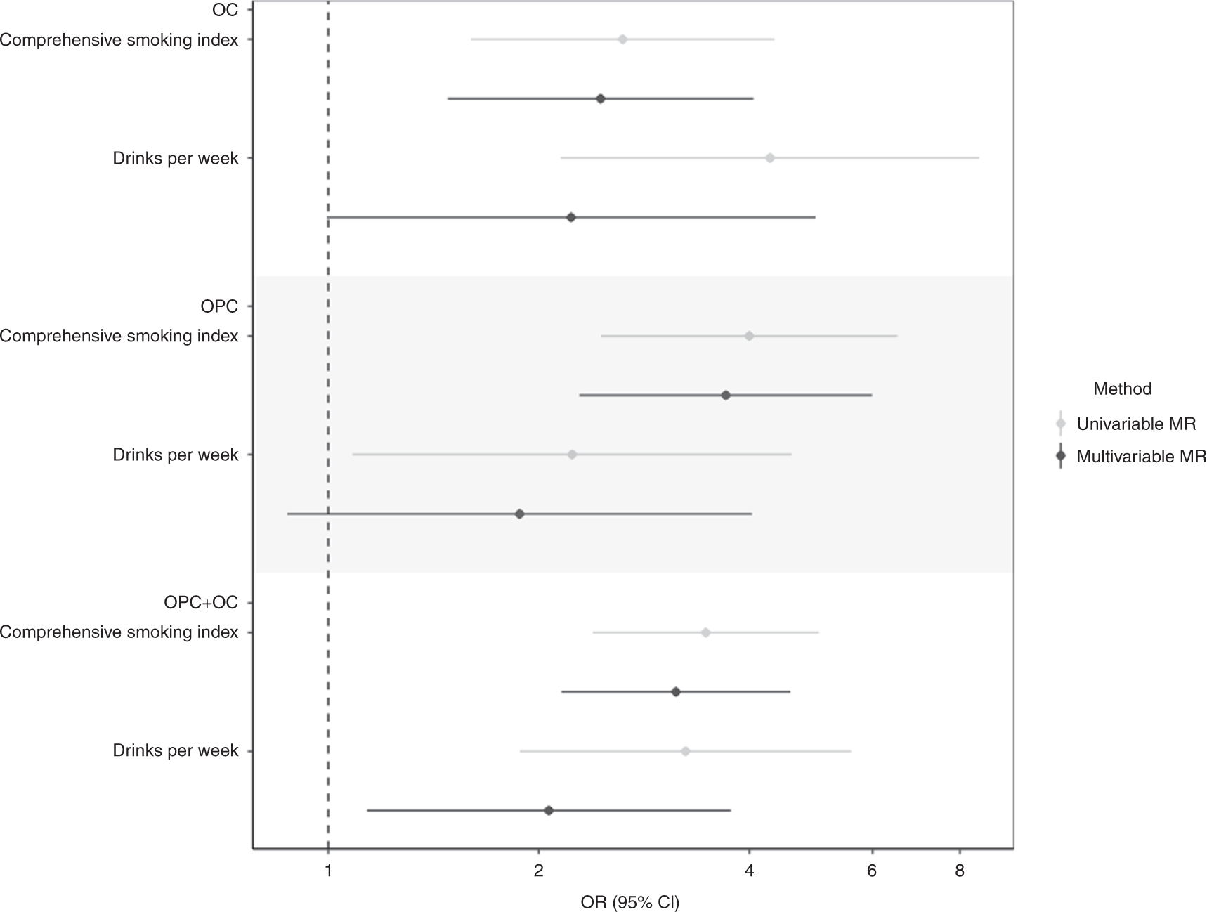
Fig. 3: Multivariable Mendelian randomisation of lifetime smoke exposure and drinks per week on oral and oropharyngeal subsites.

Effect estimates (ORs) are reported per SD increase in the exposure of drinks per week (n = 226,223) and the comprehensive smoking index (n = 226,223) on oral and oropharyngeal cancer risk (n = 6034 cases and 6585 controls). Error bars represent 95% confidence intervals. Genetic instrument for drinks per week excludes outlying variant, ADH1B (rs1229984). Univariable and multivariable effects displayed were obtained using summary-level data from the GWAS of comprehensive smoking index in UK Biobank and summary-level data from a GWAS of drinks per week in GSCAN, excluding UK Biobank and 23andMe. All statistical tests were two-sided.