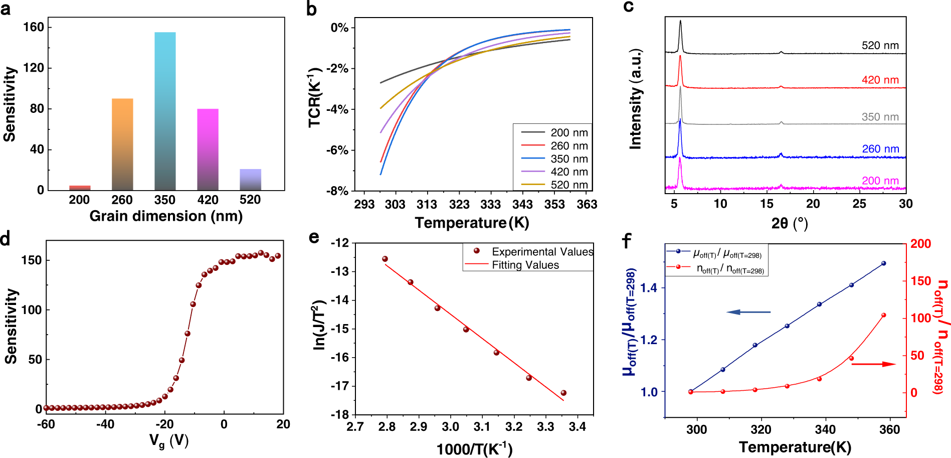
Fig. 3: Effect of the grain size on temperature dependence of OFETs.

a Bar chart of the relationship between sensitivity and grain sizes. Sensitivity is defined as [I(Vg, T)−I(Vg, T0)]/I(Vg, T0)], where Vg = 20 V, T0 = 298 K, T = 358 K. b Temperature coefficient of resistance (TCR) of the OFETs with different grain sizes. c X-ray diffraction patterns of DNTT polycrystalline films with different grain sizes. d The correlation between the sensitivity (measured when Vds = −60 V) and the gate voltage of the OFET. e The fitting plot of \(\ln \frac{J}{{T^2}}\) as a function of 1000/T. f The relative change rate of mobility and carrier density in the off-state of the OFET. The curves of (d–f) were measured by the OFET with grain size of 350 nm. The data of (a, b and e–f) were measured in the off-state (Vg is 20 V) when Vds is −60 V.