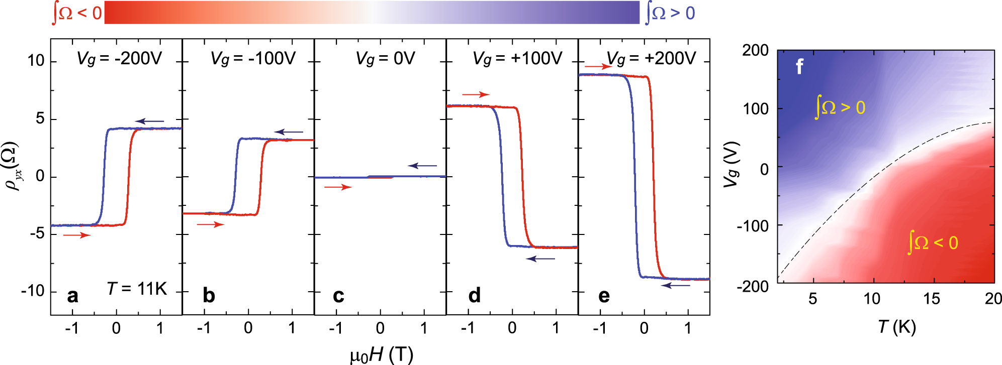
Fig. 3: Electric field control of the AH change in TI/magnetic TI bilayer heterostructures.

a–e μ0H dependence of ρyx in 3 QL Sb2Te3/5 QL Sb1.9V0.1Te3 bilayer heterostructure at different gates Vg. Vg = −200V (a); Vg = −100V (b); Vg = 0 V (c); Vg = +100 V (d); Vg = +200 V (e). The arrows indicate the magnetic field sweep directions. All measurements were taken at T = 11 K. The linear contribution from the ordinary Hall effect was subtracted. f 2D color contour plot of ρyx (0) as a function of both T and Vg in 3 QL Sb2Te3/5 QL Sb1.9V0.1Te3 bilayer heterostructure.