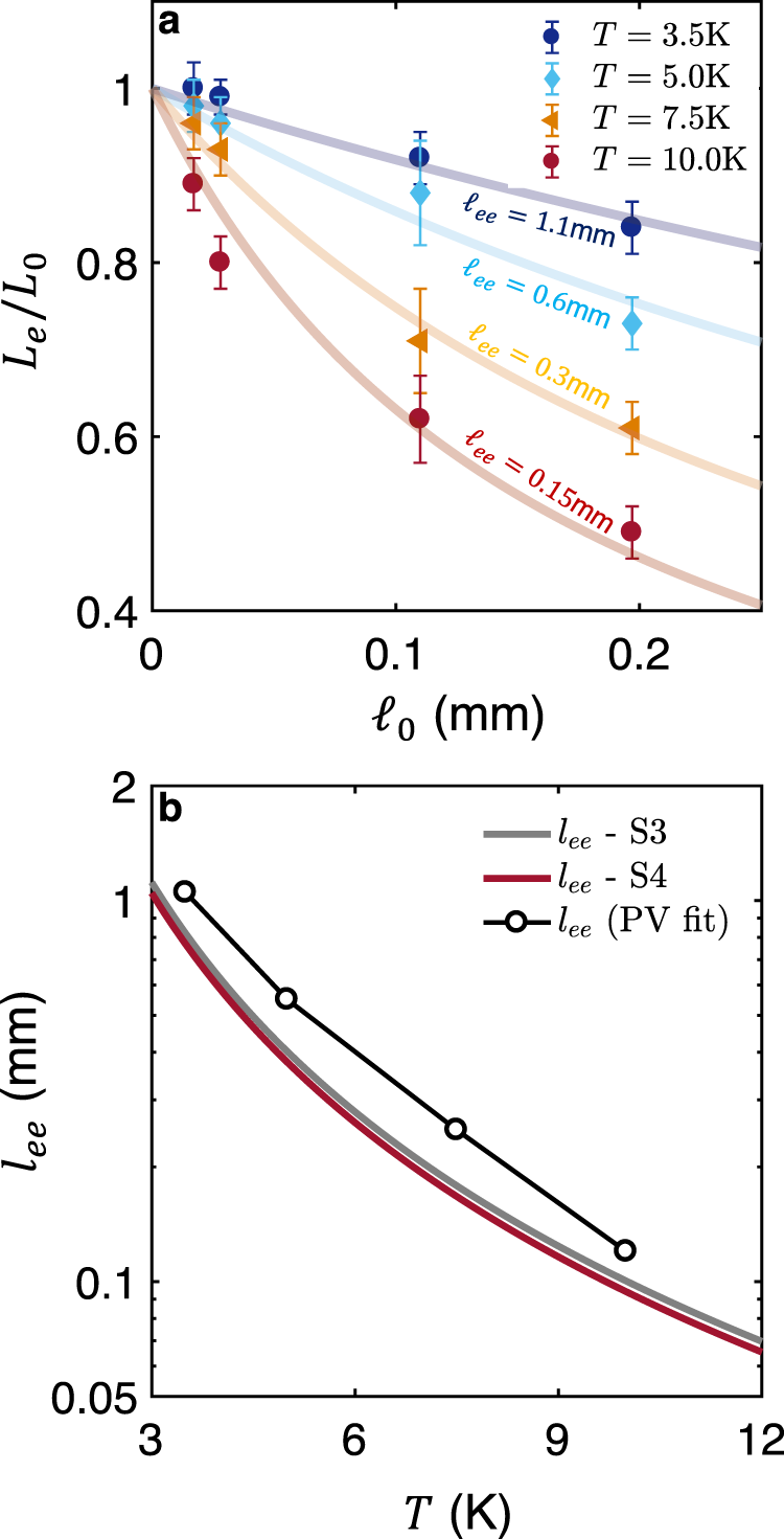
Fig. 6: The evolution of the Wiedemann-Franz correlation with the ratio of momentum-relaxing and momentum conserving mean free paths.
From: Thermal resistivity and hydrodynamics of the degenerate electron fluid in antimony

a The electronic Lorenz number Le at T = 10K, normalized by the Sommerfeld value L0, plotted as a function of the residual mean free path ℓ0 at various temperatures. The solid lines correspond to a fit given by the equation \(L/{L}_{0}=1/({1+{\ell }_{0}/{\ell }_{ee}})\) proposed by Principi and Vignale (PV) 3. ℓ0 refers to the zero-temperature Drude mean free path while ℓee(T) is the typical distance traveled by a charge carrier in-between two momentum-conserving collisions. Error bars are defined from the experimental uncertainty on Le featured in Fig. 5a. b Comparison of lee determined by the fit to the aforementioned PV formula and what is yielded by assuming that the difference between the two T-square resistivities represents the fraction of collisions which conserve momentum. In that case, \({\ell }_{ee}=\frac{{\ell }_{0}{\rho }_{0}}{({B}_{2}-{A}_{2}){T}^{2}}\).