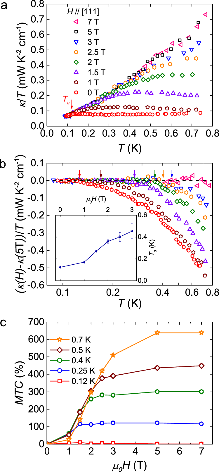
Fig. 2: Heat transport results of Pr2Ir2O7.

a The thermal conductivity of Pr2Ir2O7 single crystal at various magnetic fields along the [111] direction. At zero field, the thermal conductivity is strongly suppressed above Ts ≈ 0.12 K. b The data of thermal conductivity in (a) after subtracting the data of 5 T. A collapse region is clearly shown below the temperature at which the arrows point. This suppression temperature is defined as Ts. Inset: field dependence of the suppression temperature Ts. The error bars reflect the uncertainty in determining the temperature above which the data deviate from 0. They are estimated as the possible suppression temperature range due to the discrete data points. c The magneto-thermal conductivity MTC = (κ(H)−κ(0 T))/κ(0 T) × 100% at various temperatures. Above 5 T, the thermal conductivity tends to saturate.