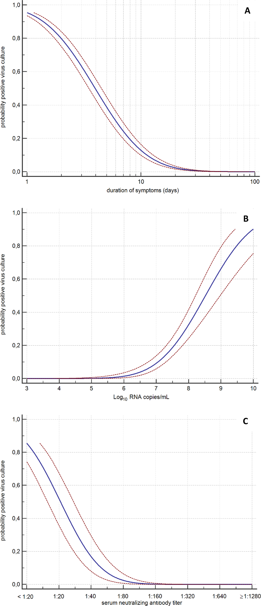
Fig. 2: Probabilities of infectious virus shedding.

Probit analyses of the detection of infectious virus in respiratory samples with cell culture for duration of symptoms in days (A) (n = 690 samples), viral RNA load in Log10 copies per mL (B) (n = 688 samples), and serum neutralizing antibody titer (C) (n = 112 samples). Blue line represent the probit curve and the dotted red lines represent the 95% confidence interval. Serum neutralizing antibody titers are expressed as plaque-reduction neutralization titers 50% as described previously27.