Fig. 2: Lattice dynamics at 150 K.
From: van der Waals driven anharmonic melting of the 3D charge density wave in VSe2

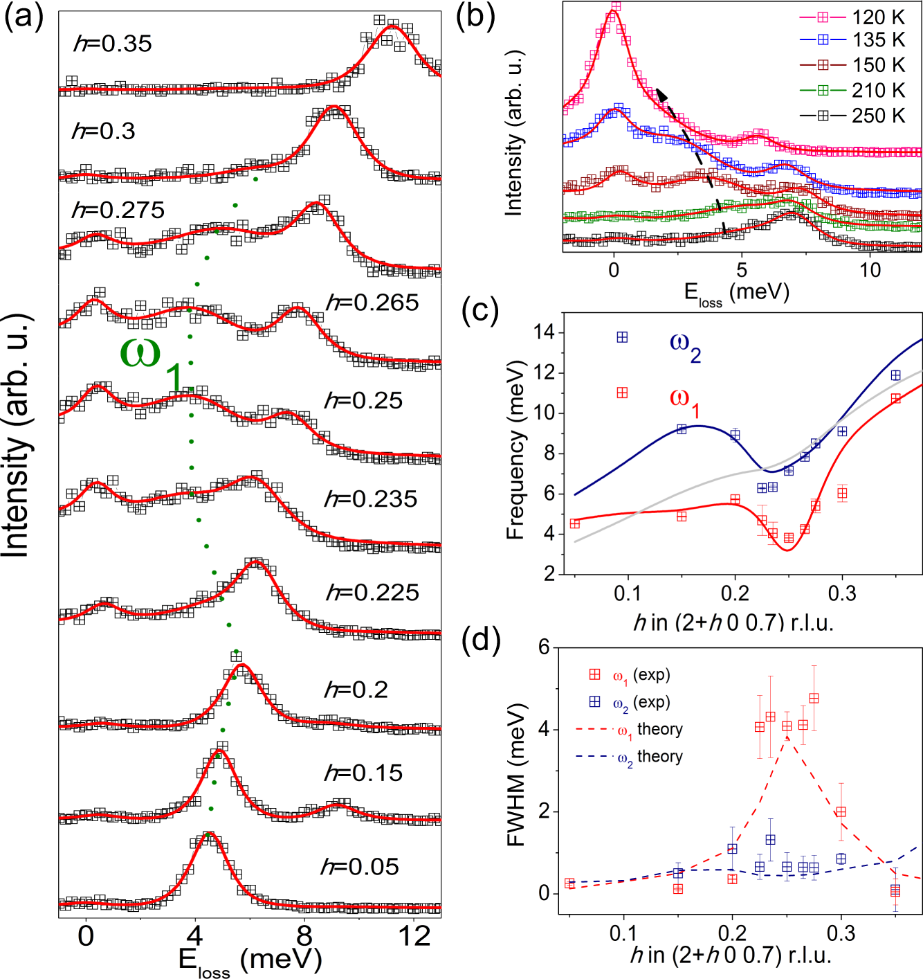
a IXS energy-loss scans at (2 + h 0 0.7) r.l.u for 0.15 < h < 0.35 and 150 K. The dotted green line follows the dispersion of the soft phonon mode, ω1 (see text). Each spectrum is vertically shifted for clarity. b Energy-loss scans as a function of temperature at (2.25 0 0.7) r.l.u. The black arrow follows the softening of the low-energy acoustic mode upon cooling. In both (a) and (b) red lines are the result of the fitting to damped harmonic oscillator functions convoluted with the instrumental resolution. c Momentum dependence of the frequency of the ω1 and ω2 branches at 150 K. The anharmonic phonon dispersions of the acoustic modes obtained at 150 K are plotted as solid lines. The gray line represents the acoustic mode that is silent in IXS. d Experimental (symbols) and theoretical (dashed lines) momentum dependence of the linewidth for ω1 and ω2. The error bars represent the fit uncertainty. The theoretical calculation accounts for both the electron–phonon and anharmonic contributions to the linewidth.