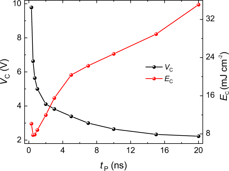
Fig. 5: Switching with short pulses.
From: Real-time Hall-effect detection of current-induced magnetization dynamics in ferrimagnets

Threshold switching voltage (black dots, left scale) and energy density (red dots, right scale) as a function of the pulse length. The critical switching voltage is determined by after-pulse probability measurements as the voltage at which the device switches in 50% of the trials (see Supplementary Notes 3 and 6). The applied in-plane field is 100 mT.