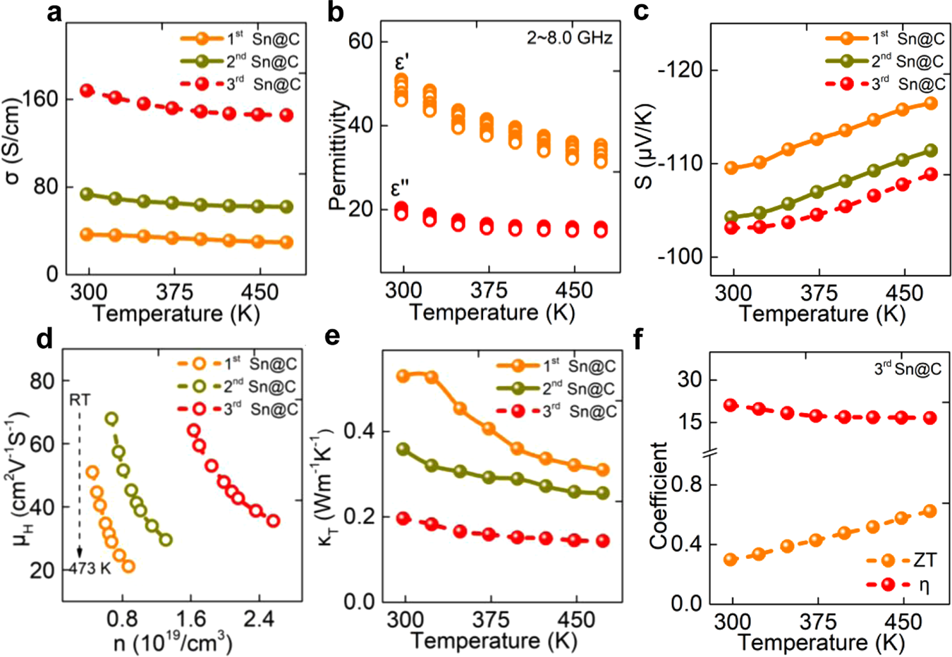
Fig. 3: Analysis of coupled EM wave-to-electricity performance.

a In-plane conductivity (σ); b the real and the imaginary part of permittivity; c Seebeck coefficient; d Hall carrier concentration (n) as a function of the mobility (μ); e total thermal conductivity (κT); f coupled EM wave-thermal-electricity performance from 298~473 K (applied frequency region: 2~8.0 GHz).