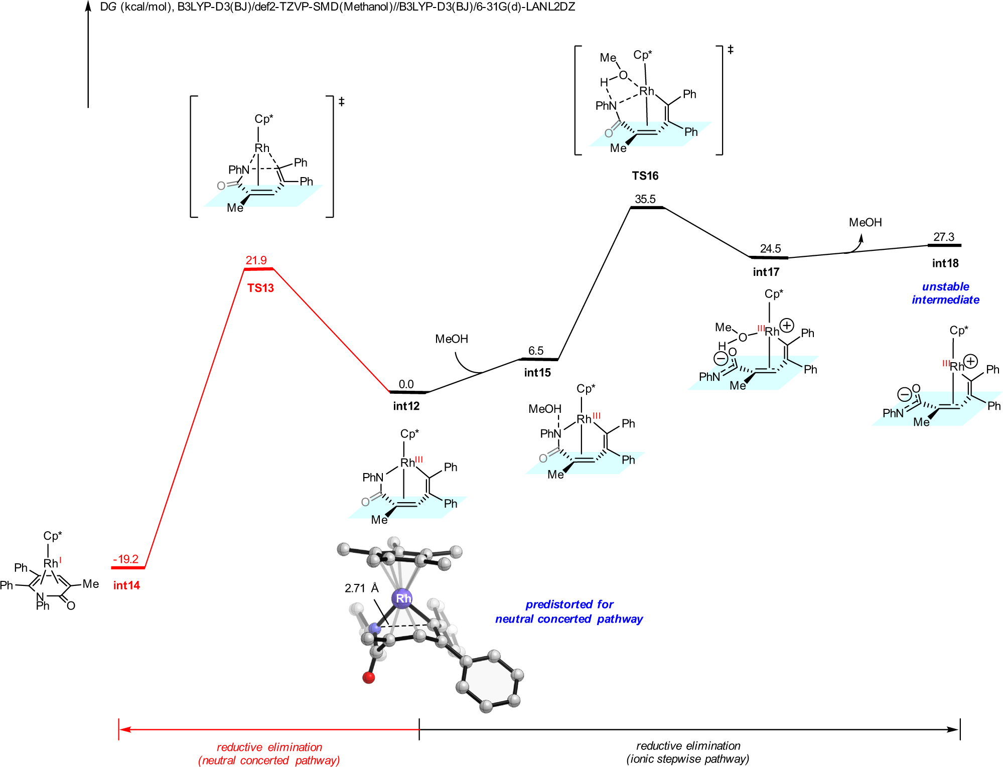
Fig. 8: DFT calculations with 1b substrate.
From: Divergent rhodium-catalyzed electrochemical vinylic C–H annulation of acrylamides with alkynes

DFT-computed free energy changes of competing reductive elimination pathways from seven-membered ring vinyl-rhodium intermediate int10 when N-phenyl acrylamide 1b was employed as substrate.