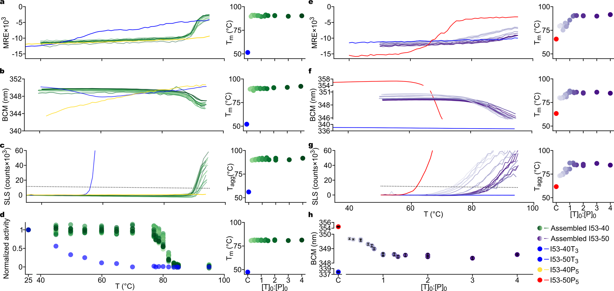
Fig. 3: Biochemical and biophysical characterization of nanomaterial stability and composition.

Representative samples of SEC-purified I53-40 and I53-50 were monitored by a, e CD reported as MRE (mean residue ellipticity; deg × cm2/dmol) at 222 nm; b, f intrinsic fluorescence, plotted as the barycentric mean (BCM) of the emission spectrum; and c, g SLS as a function of temperature. d Aldolase activity in I53-40 and I53-40T3 samples after incubation at selected temperatures for 1 h, normalized to activity in samples incubated at 25 °C. h Ambient temperature fluorescence emission (average BCM) for SEC-purified I53-50 samples plotted as a function of [T]0:[P]0 ratio. Error bars represent the standard deviation of five scans. For all panels, marker and line saturation correlate with increasing [T]0:[P]0 ratio at mixing, and adjacent dot plots track Tm or Tagg (determined by second derivative analysis or by the intersection of each trace with a defined threshold; dotted lines) of each SEC-purified nanomaterial as a function of [T]0:[P]0 ratio. Source data are provided as a Source Data file.