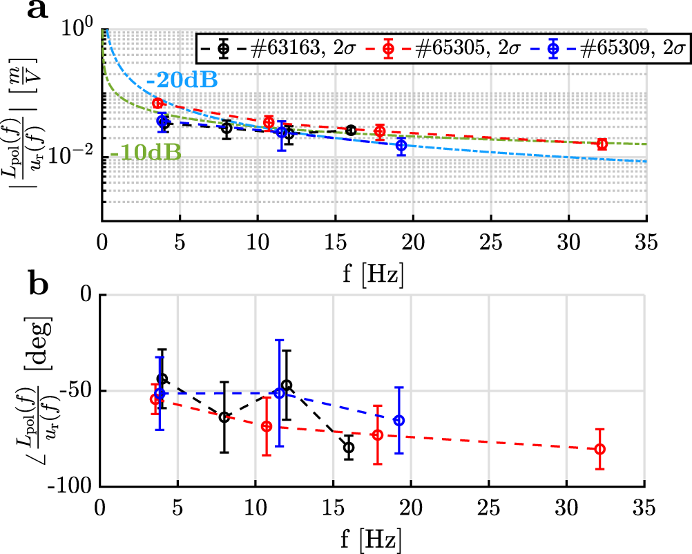
Fig. 6: Overview of estimated frequency responses.
From: Real-time feedback control of the impurity emission front in tokamak divertor plasmas

Magnitude (plot a) and phase (plot b) of the FRFs of all perturbation studies as obtained with the LPM42: Unbaffled L-mode #63163 baffled L-mode #65305, and baffled H-mode #65309. The gain of the H-mode experiment is lower and close to the unbaffled L-mode case. The phase characteristic of all FRFs is reminiscent of an irrational transfer function model44. 2σ-Error bars are calculated from the LPM42.