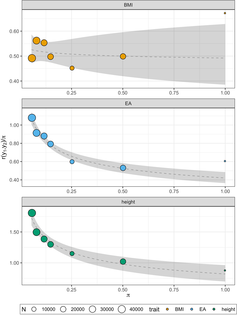
Fig. 3: Modelling of assortative mating in close relatives (π > 0.05).
From: Phenotypic covariance across the entire spectrum of relatedness for 86 billion pairs of individuals

Traits shown are body mass index (BMI), educational attainment (EA) and height. Points show the phenotypic correlation for close relatives divided by the mean genomic relationship (\(\pi\)) and \(\pi\), where N = number of pairs contributing to each point. The fitted function is shown with 95% confidence intervals (\(\pm 1.96\,{\mathrm{s}}.{\mathrm{e}}.\)) in grey.