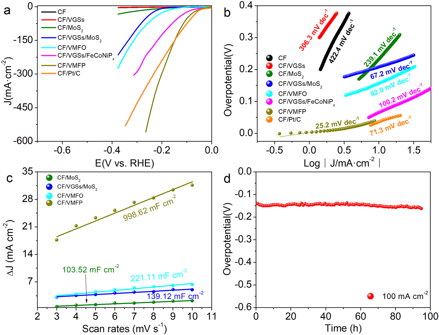
Fig. 7: HER performance of different samples tested in 1 M KOH.

a LSV curves. b Tafel plots. c Capacitive currents at different scan rates. d Time-dependent overpotential curves of CF/VMFP at 100 mA/cm2.

a LSV curves. b Tafel plots. c Capacitive currents at different scan rates. d Time-dependent overpotential curves of CF/VMFP at 100 mA/cm2.