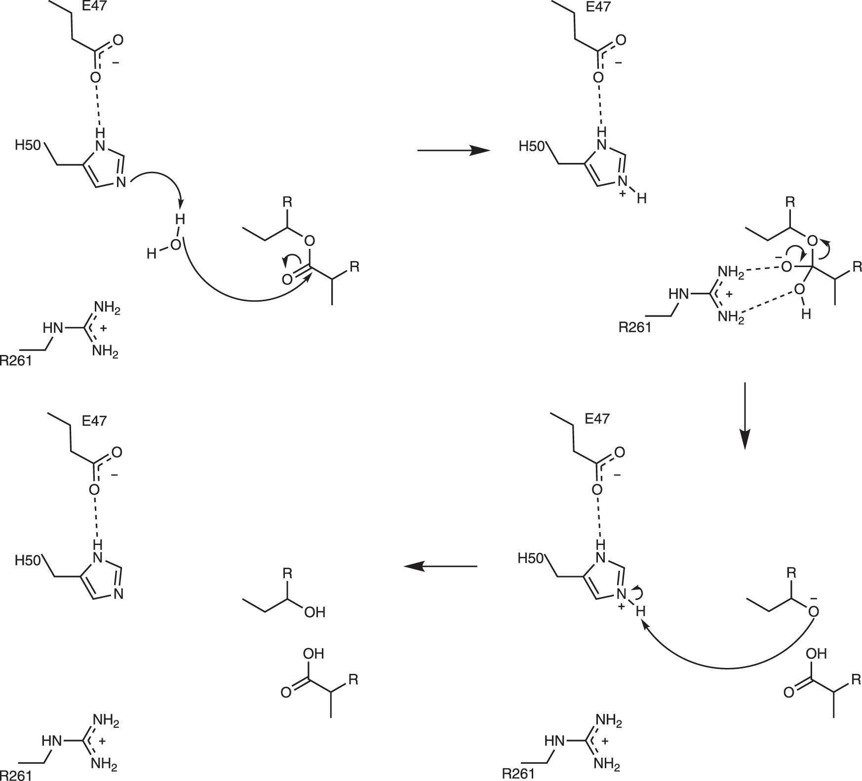
Fig. 5: Catalytic mechanism of EreC.
From: Structural and functional insights into esterase-mediated macrolide resistance

Proposed enzymatic reaction mechanism employed by EreC, displaying a cropped molecule of erythromycin and amino acids directly implied in catalysis.